
안녕하세요. 훈하니 @hunhani입니다.
@beoped 님과 @yurizard 님께 자극을 받고 저도 기초적인 수리물리 내용의 포스팅을 도전해보기로 마음먹었습니다. 두 분에 비하면 한참 못 미칠 내용 혹은 이미 중복된 내용을 다룰 수도 있겠지만 애교로 봐주시겠죠? 그동안의 다른 물리학 시리즈와 달리 어쩔 수 없이 수식을 포함해 설명할 수밖에 없고 그렇다고 모든 개념을 풀어 전해드리기에는 내용이 방대합니다. 때문에 수식이 왜 이렇게 표현되고 어떻게 도출되는지 수학적으로 파고드는 것은 일반인 입장에서 글 내용을 더 어렵게 느끼게 만들 것 같더군요. 따라서 해당 수식이 결과론적으로 어떤 의미를 지니는지 어떻게 사용되는지 등에 초점을 맞춰 작성하도록 하겠습니다.

좌표계 별 헬름홀츠 방정식의 일반해
Chapter 8. 물리학에서 자주 접하는 미분 방정식에서 헬름홀츠 방정식, 푸아송 방정식, 라플라스 방정식이 무엇인지 개략적으로 알아보았습니다.
헬름홀츠 방정식은 시간 의존 파동 방정식에서 변수분리를 거쳐 시간에 대해 독립적으로 공간에 대한 풀이로만 관련시킨 2차 편미분 방정식입니다.
라플라스 방정식은 고유값이 0인 라플라스 연산자의 고유함수가 만족시키는 2차 편미분 방정식이었죠. 푸아송 방정식은 라플라스 방정식을 일반화한 것입니다. 반대로 라플라스 방정식이 푸아송 방정식의 특수한 경우에 해당한다고 볼 수 있지요.
헬름홀츠 방정식의 해를 구하는데 있어 좌표계의 설정에 따라 미분 방정식의 변형 형태가 달라지는데요. 사실 라플라스 방정식 역시 헬름홀츠 방정식에서 k=0 인 경우에 해당하므로 동일한 방법이 적용된답니다. 이제 변수분리를 통해 각 좌표계 별로 일반해를 풀이해보겠습니다. 원통좌표계와 구면좌표계에 대한 설명은 Chapter 7. 원통좌표계, 구면좌표계에서 확인하실 수 있습니다.
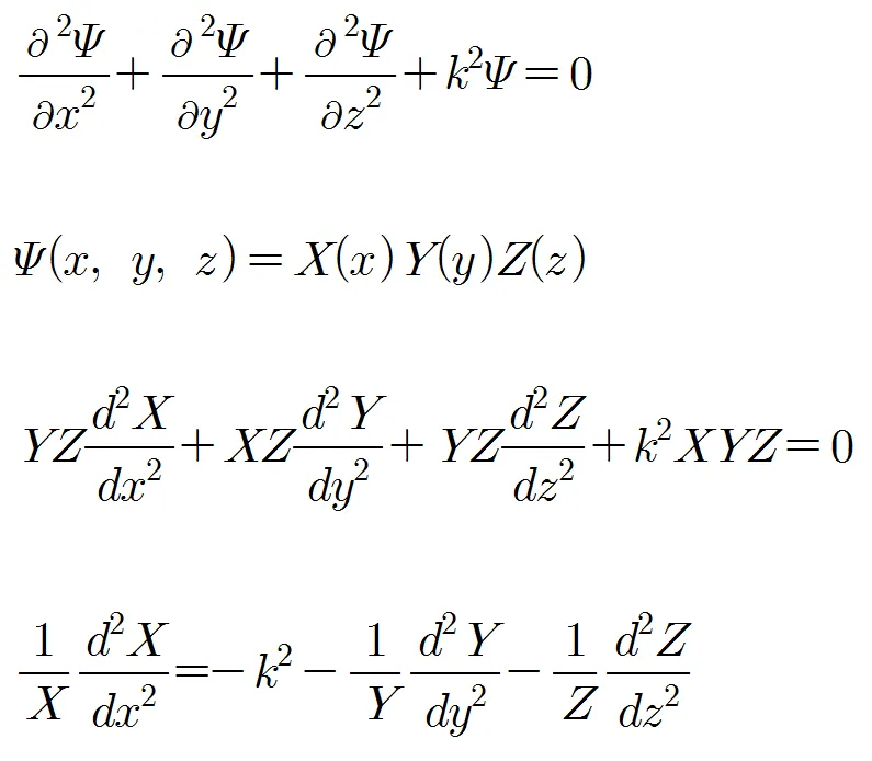
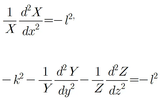
직교좌표계
위 식의 좌변은 x만의 함수이고, 우변은 y, z의 함수이므로 서로 항등이 될 수 없다. 결국, 양변을 상수로 두는 것이 가장 합당한 선택입니다.
위의 식으로부터
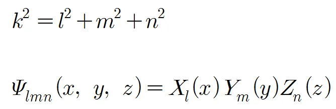
이상에서 아래의 관계가 성립하며,
따라서 직교좌표계에서 헬름홀츠 방정식의일반해는 아래와 같이 표현됩니다.
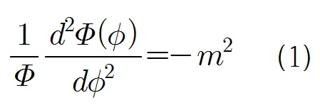
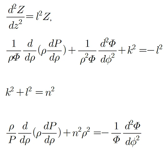
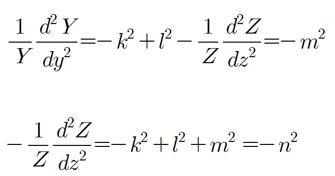
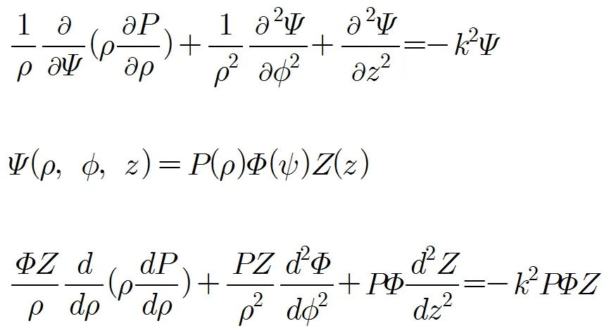
원통좌표계
위 변수분리로 인하여 편미분에서 상미분으로 변화합니다.
z에 관한 함수와 ρ, ϕ에 관한 함수가 항등으로 되어 있으므로 이를 상수로 둘 수 있습니다.
동일한 이유로 우변을 상수로 둡니다.
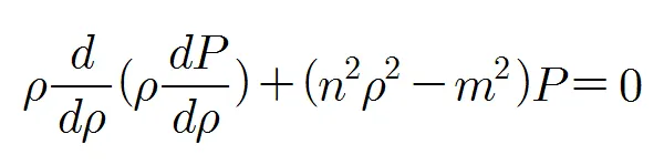
이제, 남은 ρ에 관한 식을 보겠습니다.
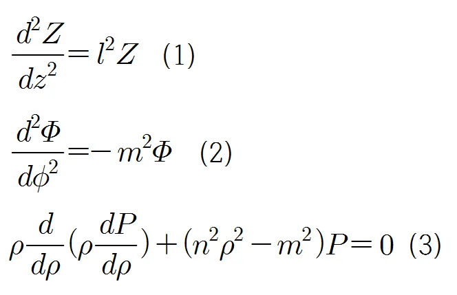
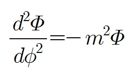
변수분리법을 통하여 다음의 3개의 식을 얻었죠.
각 식의 해를 살펴보겠습니다.
먼저, (1)식의 해는 지수함수입니다.
(2) 식의 해는 삼각함수죠.
(3) 식은 베셀 (Bessel) 방정식입니다.
베셀 방정식은 급수해법을 이용하여 해를 구할 수 있습니다.
따라서 원통좌표계에서 헬름홀츠 방정식의 일반해는 아래와 같이 표현됩니다.
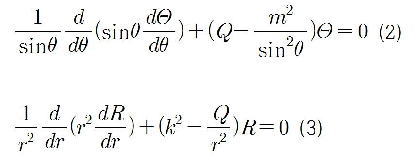
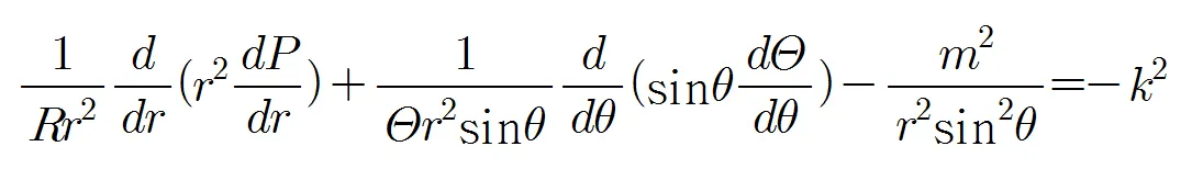
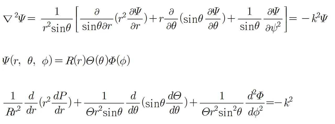
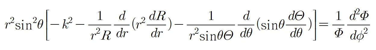
구면좌표계
마찬가지로 변수분리로 인하여 편미분에서 상미분으로 변화합니다.
ϕ에 관한 함수와 r, θ에 관한 함수가 항등으로 되어 있으므로 이를 상수로 둘 수 있습니다.
이를 이용하면
r과 θ에 관한 식으로 분리하기 위하여 좌변과 우변에 각각 정리합니다.
이 식도 r만의 함수와 θ만의 함수가 항등을 이루므로 앞의 경우와 마찬가지로 상수로 둘 수 있다. 상수를 Q라 둔다면 위의 식은,
(1) 식의 해는 원통좌표계와 같이 삼각함수입니다.
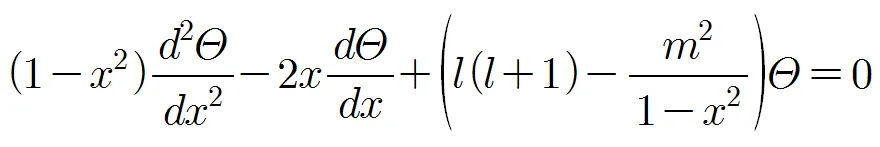
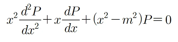
(2) 식은 Q=l(l+1)일 때 (단, l은 정수), 르장드르 연관 (associated Legendre) 방정식이 됩니다. 르장드르 다항식은 르장드르 연관 방정식의 해가 되는 함수이죠. 이제 (2) 식에서 x=cosθ로 두고 다시 식을 정리하면 아래와 같이 표현됩니다.
참고로 르장드르 연관 방정식에서 m=0인 경우를 르장드르 방정식이라고 하지요. 연관이라는 단어가 빠졌습니다.
따라서 구면좌표계에서 헬름홀츠 방정식은 아래와 같이 표현됩니다.
구면좌표계에서 헬름홀츠 방정식 및 라플라스 방정식을 구하는 경우는 구 대칭성을 갖고 있는 문제에서 빈번하게 등장합니다. 양자역학에서 구 대칭성의 퍼텐셜을 갖는 수소원자의 파동함수를 슈뢰딩거 방정식을 이용하여 구하는 과정이 대표적인 예시입니다.
다음 편을 기대해주세요!
지난 이야기
- [돈을 지배하는 물리 법칙] Chapter 0. 서론
- [돈을 지배하는 물리 법칙] Chapter 1. 시세에 작용하는 관성과 작용/반작용의 법칙
- [돈을 지배하는 물리 법칙] Chapter 2. 브라운 운동으로 해석하는 투기 이론
- [돈을 지배하는 물리 법칙] Chapter 3. 천체물리학자가 파헤친 주가와 주가 수익률의 관계
- [돈을 지배하는 물리 법칙] Chapter 4. 멱 법칙과 레비 안정 분포로 알아보는 빈익빈 부익부
- [돈을 지배하는 물리 법칙] Chapter 5. 켈리의 공식으로 알아보는 포트폴리오를 분산하는 방법
- [돈을 지배하는 물리 법칙] Chapter 6. 블랙-숄즈 주가 모형으로 알아보는 주가 변화와 자산의 위험 정도
- [암호화폐가 100% 망한다고? 양자 컴퓨터와 블록체인 보안 이야기] Chapter 0. 서론
- [암호화폐가 100% 망한다고? 양자 컴퓨터와 블록체인 보안 이야기] Chapter 1. 양자 컴퓨터! 도대체 일반 컴퓨터랑 뭐가 다른 거야?
- [암호화폐가 100% 망한다고? 양자 컴퓨터와 블록체인 보안 이야기] Chapter 2. 놀라운 자연의 마법, 양자 중첩/얽힘/순간이동
- [암호화폐가 100% 망한다고? 양자 컴퓨터와 블록체인 보안 이야기] Chapter 3. 병 주고 약 주는 양자 컴퓨터? 양자 병렬성과 양자 통신 보안
- [암호화폐가 100% 망한다고? 양자 컴퓨터와 블록체인 보안 이야기] Chapter 4. 큐비트를 이용한 양자 정보 처리
- [암호화폐가 100% 망한다고? 양자 컴퓨터와 블록체인 보안 이야기] Chapter 5. 양자 정보 세상을 위해 극복해야 할 기술적 난관
- [암호화폐가 100% 망한다고? 양자 컴퓨터와 블록체인 보안 이야기] Chapter 6. 양자 컴퓨터 기술 개발! 그래서 어디까지 진행되었나?
- [암호화폐가 100% 망한다고? 양자 컴퓨터와 블록체인 보안 이야기] Chapter 7. 양자 컴퓨터가 블록체인을 죽일 것이다?
- [밤하늘의 물리학] Chapter 0. 서론
- [밤하늘의 물리학] Chapter 1. 우주론의 기원과 진화
- [밤하늘의 물리학] Chapter 2. 정적인 우주와 동적인 우주
- [밤하늘의 물리학] Chapter 3. 연주 시차와 별의 밝기-거리 관계
- [밤하늘의 물리학] Chapter 4. 세페이드 변광성과 외부 은하
- [밤하늘의 물리학] Chapter 5. 허블의 법칙과 우주의 나이, 크기, 팽창률
- [밤하늘의 물리학] Chapter 6. 빅뱅 우주론으로 알아보는 우주의 탄생과 미래
- [밤하늘의 물리학] Chapter 7. 성간 물질과 별의 탄생 과정
- [밤하늘의 물리학] Chapter 8. 허블의 분류를 통해 알아보는 은하의 종류와 형태
- [밤하늘의 물리학] Chapter 9. 은하의 충돌과 분포 및 우주의 거대 구조
- [밤하늘의 물리학] Chapter 10. 성간운의 형태와 별빛의 편광
- [밤하늘의 물리학] Chapter 11. 성간운에서의 화학 반응과 외계 생명체의 단서
- [밤하늘의 물리학] Chapter 12. 별의 진화와 수명
- [밤하늘의 물리학] Chapter 13. 별의 최후와 갈색 왜성, 행성상성운, 백색 왜성, 초신성, 중성자별, 블랙홀의 탄생
- [수리물리학 이야기] Chapter 0. 서론
- [수리물리학 이야기] Chapter 1. 오일러 공식과 테일러 급수
- [수리물리학 이야기] Chapter 2. 크로네커 델타와 푸리에 급수
- [수리물리학 이야기] Chapter 3. 푸리에 해석과 푸리에 계수
- [수리물리학 이야기] Chapter 4. 푸리에 변환 및 역변환
- [수리물리학 이야기] Chapter 5. 팩토리얼과 감마 함수
- [수리물리학 이야기] Chapter 6. 가우스 함수와 가우스 적분
- [수리물리학 이야기] Chapter 7. 원통좌표계, 구면좌표계
- [수리물리학 이야기] Chapter 8. 물리학에서 자주 접하는 미분 방정식
- [쉽게 풀어 쓴 상대성 이론] Chapter 0. 서론
- [알기 쉬운 물리학] 다양한 물리학 분야와 응집물질물리학 이야기
- [신의 입자] 만물에 질량을 부여하는 입자, 힉스에 대해 알아보자. (상편)
- [신의 입자] 만물에 질량을 부여하는 입자, 힉스에 대해 알아보자. (하편)
- [모든 힘은 어디에서 비롯될까?] 자연계에 존재하는 기본 4가지 힘에 대해 알아보자.
- [도플러 효과] 너와 나의 움직임이 진동수와 파장을 바꾼다?
- [차세대 초고속 이동수단] 하이퍼루프가 왜 특별한지 알아보자!
- [차세대 초고속 이동수단] 하이퍼루프가 지닌 문제점과 그 극복 방안
- [이공계 대학원생 근로계약 체결 관련] 4개 과학기술원 간담회에 다녀왔습니다.
- [수달, 두더지, 고라니, 멧돼지] 멸종위기 천연기념물이 사는 친환경 캠퍼스
- [3D 프린터 대축제] 3D 프린팅 갈라 in 울산
- [미국 물리학회 참석기] (8) 그래핀 연구의 세계적인 권위자 김필립 교수님을 만나다.
- [안철수 대표를 만나다] UNIST 잔디밭 토크 콘서트
- 물리학도가 들려주는 인터스텔라를 더 재밌게 보기 위한 18가지 이야기
- 그래핀 끼워 넣어 꿈의 다이오드 만들기
- 본문에서 사용된 모든 이미지는 구글 이미지에서 가져왔음을 밝힙니다.
- 본문을 작성하는데 있어 위키피디아 내용을 참조하였습니다.
