
안녕하세요. 훈하니 @hunhani입니다.
@beoped 님과 @yurizard 님께 자극을 받고 저도 기초적인 수리물리 내용의 포스팅을 도전해보기로 마음먹었습니다. 두 분에 비하면 한참 못 미칠 내용 혹은 이미 중복된 내용을 다룰 수도 있겠지만 애교로 봐주시겠죠? 그동안의 다른 물리학 시리즈와 달리 어쩔 수 없이 수식을 포함해 설명할 수밖에 없고 그렇다고 모든 개념을 풀어 전해드리기에는 내용이 방대합니다. 때문에 수식이 왜 이렇게 표현되고 어떻게 도출되는지 수학적으로 파고드는 것은 일반인 입장에서 글 내용을 더 어렵게 느끼게 만들 것 같더군요. 따라서 해당 수식이 결과론적으로 어떤 의미를 지니는지 어떻게 사용되는지 등에 초점을 맞춰 작성하도록 하겠습니다.

가우스 함수
가우스 함수는 정수론, 통계학, 해석학, 미분기하학, 측지학, 전자기학, 천문학, 광학 등 수많은 분야에 기여한 독일의 수학자 겸 과학자 카를 프리드리히 가우스의 이름을 따서 명명되었습니다. 가우스 함수의 그래프는 좌우대칭의 종 모양의 곡선으로 +와 –의 극한에 향할수록 급격히 감소하는 특성을 가집니다. 매개변수 a는 곡선의 꼭대기 높이가 되고, b는 꼭대기의 중심의 위치가 되며, c는 종의 너비를 결정하죠. 또한, 가우스 함수는 오차 함수의 도함수이자 동시에 정규 분포의 밀도 함수입니다. 따라서 물리학과 통계학에서 다양하게 사용되고 있답니다.
가우스 적분
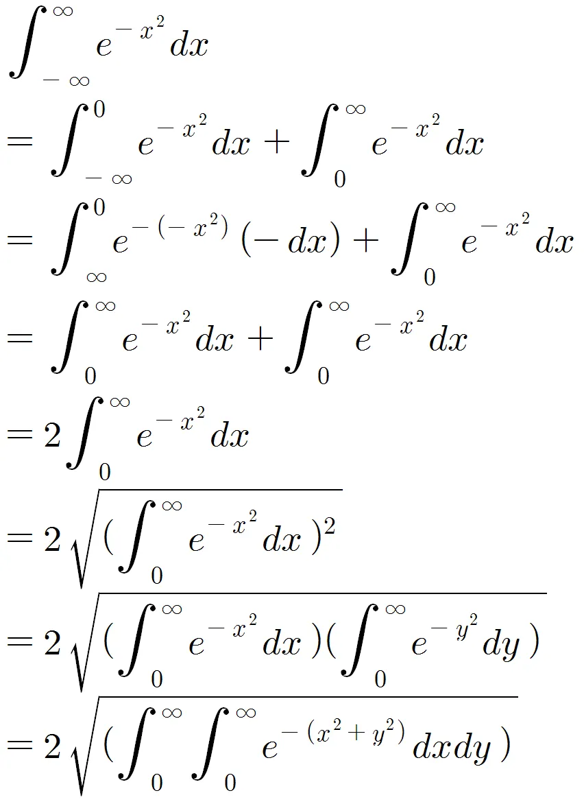
가우스 함수를 실수 전체 범위에 대해 적분하는 가우스 적분은 확률론, 통계학, 편미분 방정식 등에 사용되는 오차 함수를 구하는 방법입니다. 확률과 통계에서 아주 중요한 표준정규분포의 모델이 될 뿐만 아니라 양자역학에서 자주 등장하는 적분 계산법이죠.
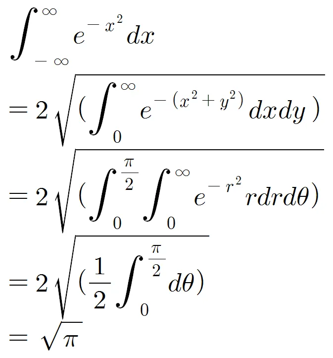
하지만 이 가우스 적분은 일반적인 부분적분 혹은 치환적분 등으로 풀 수가 없습니다. 따라서 가우스 적분을 풀기 위해 실수 전체 범위에 대한 적분을 극좌표로 변환하는 과정을 거칩니다.
가우스 적분을 이렇게 전개하여 중적분 형태로 표현하니 (x,y) 1사분면 전체 면적을 적분하는 것처럼 보이죠? 이제 이를 극좌표 관점에서 재해석해봅시다.
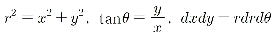
극좌표로 변수변환을 하겠습니다.
이제 손쉽게 적분할 수 있습니다.
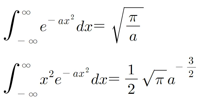
가우스 적분을 응용하여 마찬가지 방법으로 다양한 적분 계산을 해낼 수 있습니다. 아래 두 적분은 가우스 적분과 함께 양자역학에서 자주 등장하는 적분으로 아예 결과 값을 외워두고 양자역학 문제를 풀면 계산 과정이 많이 간단해지곤 했답니다.
다음 편을 기대해주세요!
지난 이야기
- [돈을 지배하는 물리 법칙] Chapter 0. 서론
- [돈을 지배하는 물리 법칙] Chapter 1. 시세에 작용하는 관성과 작용/반작용의 법칙
- [돈을 지배하는 물리 법칙] Chapter 2. 브라운 운동으로 해석하는 투기 이론
- [돈을 지배하는 물리 법칙] Chapter 3. 천체물리학자가 파헤친 주가와 주가 수익률의 관계
- [돈을 지배하는 물리 법칙] Chapter 4. 멱 법칙과 레비 안정 분포로 알아보는 빈익빈 부익부
- [돈을 지배하는 물리 법칙] Chapter 5. 켈리의 공식으로 알아보는 포트폴리오를 분산하는 방법
- [돈을 지배하는 물리 법칙] Chapter 6. 블랙-숄즈 주가 모형으로 알아보는 주가 변화와 자산의 위험 정도
- [암호화폐가 100% 망한다고? 양자 컴퓨터와 블록체인 보안 이야기] Chapter 0. 서론
- [암호화폐가 100% 망한다고? 양자 컴퓨터와 블록체인 보안 이야기] Chapter 1. 양자 컴퓨터! 도대체 일반 컴퓨터랑 뭐가 다른 거야?
- [암호화폐가 100% 망한다고? 양자 컴퓨터와 블록체인 보안 이야기] Chapter 2. 놀라운 자연의 마법, 양자 중첩/얽힘/순간이동
- [암호화폐가 100% 망한다고? 양자 컴퓨터와 블록체인 보안 이야기] Chapter 3. 병 주고 약 주는 양자 컴퓨터? 양자 병렬성과 양자 통신 보안
- [암호화폐가 100% 망한다고? 양자 컴퓨터와 블록체인 보안 이야기] Chapter 4. 큐비트를 이용한 양자 정보 처리
- [암호화폐가 100% 망한다고? 양자 컴퓨터와 블록체인 보안 이야기] Chapter 5. 양자 정보 세상을 위해 극복해야 할 기술적 난관
- [암호화폐가 100% 망한다고? 양자 컴퓨터와 블록체인 보안 이야기] Chapter 6. 양자 컴퓨터 기술 개발! 그래서 어디까지 진행되었나?
- [암호화폐가 100% 망한다고? 양자 컴퓨터와 블록체인 보안 이야기] Chapter 7. 양자 컴퓨터가 블록체인을 죽일 것이다?
- [밤하늘의 물리학] Chapter 0. 서론
- [밤하늘의 물리학] Chapter 1. 우주론의 기원과 진화
- [밤하늘의 물리학] Chapter 2. 정적인 우주와 동적인 우주
- [밤하늘의 물리학] Chapter 3. 연주 시차와 별의 밝기-거리 관계
- [밤하늘의 물리학] Chapter 4. 세페이드 변광성과 외부 은하
- [밤하늘의 물리학] Chapter 5. 허블의 법칙과 우주의 나이, 크기, 팽창률
- [밤하늘의 물리학] Chapter 6. 빅뱅 우주론으로 알아보는 우주의 탄생과 미래
- [밤하늘의 물리학] Chapter 7. 성간 물질과 별의 탄생 과정
- [밤하늘의 물리학] Chapter 8. 허블의 분류를 통해 알아보는 은하의 종류와 형태
- [밤하늘의 물리학] Chapter 9. 은하의 충돌과 분포 및 우주의 거대 구조
- [밤하늘의 물리학] Chapter 10. 성간운의 형태와 별빛의 편광
- [밤하늘의 물리학] Chapter 11. 성간운에서의 화학 반응과 외계 생명체의 단서
- [밤하늘의 물리학] Chapter 12. 별의 진화와 수명
- [밤하늘의 물리학] Chapter 13. 별의 최후와 갈색 왜성, 행성상성운, 백색 왜성, 초신성, 중성자별, 블랙홀의 탄생
- [수리물리학 이야기] Chapter 0. 서론
- [수리물리학 이야기] Chapter 1. 오일러 공식과 테일러 급수
- [수리물리학 이야기] Chapter 2. 크로네커 델타와 푸리에 급수
- [수리물리학 이야기] Chapter 3. 푸리에 해석과 푸리에 계수
- [수리물리학 이야기] Chapter 4. 푸리에 변환 및 역변환
- [수리물리학 이야기] Chapter 5. 팩토리얼과 감마 함수
- [알기 쉬운 물리학] 다양한 물리학 분야와 응집물질물리학 이야기
- [신의 입자] 만물에 질량을 부여하는 입자, 힉스에 대해 알아보자. (상편)
- [신의 입자] 만물에 질량을 부여하는 입자, 힉스에 대해 알아보자. (하편)
- [모든 힘은 어디에서 비롯될까?] 자연계에 존재하는 기본 4가지 힘에 대해 알아보자.
- [도플러 효과] 너와 나의 움직임이 진동수와 파장을 바꾼다?
- [차세대 초고속 이동수단] 하이퍼루프가 왜 특별한지 알아보자!
- [차세대 초고속 이동수단] 하이퍼루프가 지닌 문제점과 그 극복 방안
- [이공계 대학원생 근로계약 체결 관련] 4개 과학기술원 간담회에 다녀왔습니다.
- [수달, 두더지, 고라니, 멧돼지] 멸종위기 천연기념물이 사는 친환경 캠퍼스
- [3D 프린터 대축제] 3D 프린팅 갈라 in 울산
- [미국 물리학회 참석기] (8) 그래핀 연구의 세계적인 권위자 김필립 교수님을 만나다.
- [안철수 대표를 만나다] UNIST 잔디밭 토크 콘서트
- 물리학도가 들려주는 인터스텔라를 더 재밌게 보기 위한 18가지 이야기
- 그래핀 끼워 넣어 꿈의 다이오드 만들기
- 본문에서 사용된 모든 이미지는 구글 이미지에서 가져왔음을 밝힙니다.
- 본문을 작성하는데 있어 위키피디아 내용을 참조하였습니다.
