
안녕하세요. 훈하니 @hunhani입니다.
@beoped 님과 @yurizard 님께 자극을 받고 저도 기초적인 수리물리 내용의 포스팅을 도전해보기로 마음먹었습니다. 두 분에 비하면 한참 못 미칠 내용 혹은 이미 중복된 내용을 다룰 수도 있겠지만 애교로 봐주시겠죠? 그동안의 다른 물리학 시리즈와 달리 어쩔 수 없이 수식을 포함해 설명할 수밖에 없고 그렇다고 모든 개념을 풀어 전해드리기에는 내용이 방대합니다. 때문에 수식이 왜 이렇게 표현되고 어떻게 도출되는지 수학적으로 파고드는 것은 일반인 입장에서 글 내용을 더 어렵게 느끼게 만들 것 같더군요. 따라서 해당 수식이 결과론적으로 어떤 의미를 지니는지 어떻게 사용되는지 등에 초점을 맞춰 작성하도록 하겠습니다.

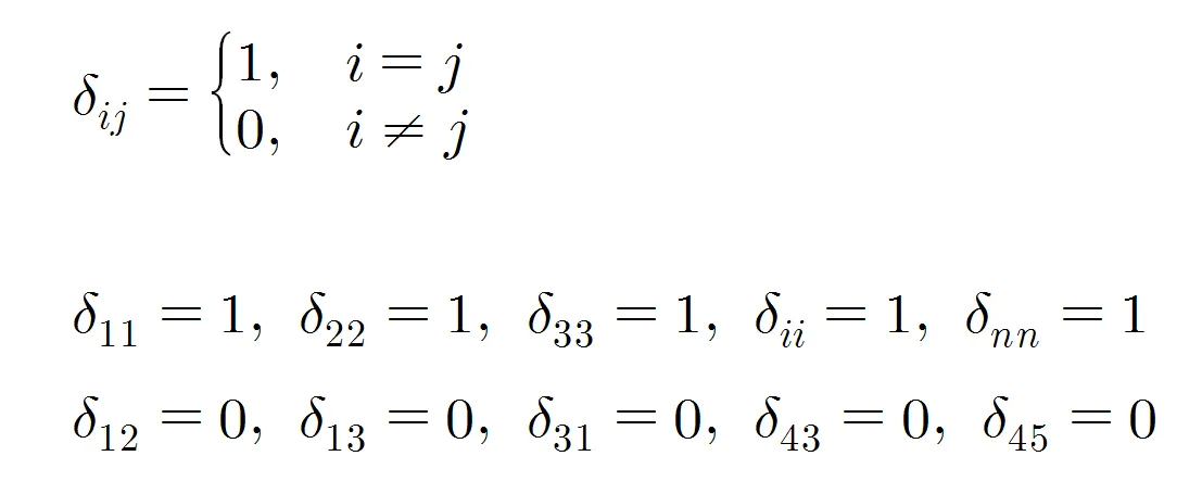
크로네커 델타
크로네커 델타는 두 아래첨자가 같으면 , 다르면 이 되는 함수입니다. 선형대수학에서 기저를 표현하기 위해 탄생했지만 크로네커 델타를 사용하면 증명과 계산이 매우 편리해지는 경우가 많아 널리 애용되고 있습니다. 예를 들어 전자공학에서 신호 처리 및 제어를 하는데 있어 디지털 시스템을 해석할 때 크로네커 델타가 아주 유용하게 쓰인답니다.
푸리에 급수
주기를 가진 모든 파동은 sine과 cosine들의 합으로 나타낼 수 있는데요. 푸리에 급수를 통해서 그것이 가능하다는 것을 확인해보겠습니다.
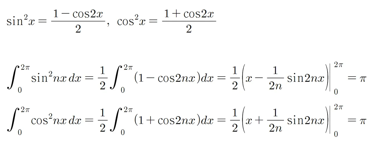
반각 공식을 이용하면 다음 식이 성립하는 것을 알 수 있습니다. n은 아닌 정수를 의미합니다.
위의 적분 값은 밑변이 2π(적분구간의 길이이면서 동시에 삼각함수의 주기의 정수배)이고 높이가 1(sine, cosine의 최댓값)인 직사각형의 넓이의 반과 같다는 것에 주목해야 합니다.
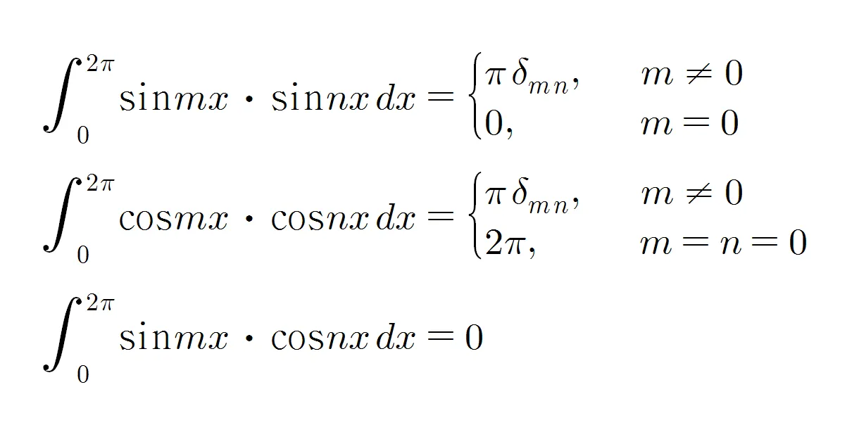
본격적으로 푸리에 급수의 기본이 되는 적분을 설명하겠습니다.
정수 m, n에 대하여 다음 세 식이 성립합니다.
위 식들은 삼각함수의 곱을 합・차로 고치는 공식을 이용해서 증명할 수 있죠.
내적해서 이 되는 두 벡터를 직교한다고 표현하는데 곱을 정적분한 결과가 이 되는 두 함수 역시 직교한다고 표현할 수 있습니다. 이 두 가지를 수식을 이용하여 표현하면 아래와 같습니다.
함수 f(x)가 주기가 2π인 함수일 때 이 함수를 다음과 같이 나타낼 수 있는데요.
위와 같이 어떤 주기함수 f(x)를 sin(nx) 및 cos(nx) 들의 합으로 나타낸 것을 푸리에 급수, 푸리에 급수로 나타내는 과정을 푸리에 전개라고 합니다. 또한 an, bn 등을 푸리에 계수, 푸리에 계수를 구하는 과정을 푸리에 해석이라고 하지요.
이 용어들을 다시 정리하면 ‘푸리에 급수를 구하라.’는 말과 ‘푸리에 전개하라.’는 말은 같은 뜻이고 ‘푸리에 계수를 구하라.’는 말과 ‘푸리에 해석하라.’는 말도 같은 뜻입니다.
푸리에 해석은 미분방정식, 특히 편미분방정식의 해법에 매우 중요한 기법입니다. 전자공학에서 주파수 영역에서의 신호를 관찰할 때 특정 신호에서 푸리에 해석을 사용합니다. 뿐만 아니라 유체역학에서 유명한 나비에-스톡스 방정식을 푸리에 해석을 통해 풀이하고 양자역학에서 자유입자를 기술할 때 푸리에 급수가 쓰이기도 하죠. 고체물리학에서 주기성을 갖는 격자들을 분석할 때 마찬가지로 푸리에 해석이 사용됩니다. 이처럼 다양한 수학, 물리, 공학 분야에서 푸리에 기법이 사용됩니다.
다음 편을 기대해주세요!
지난 이야기
- [돈을 지배하는 물리 법칙] Chapter 0. 서론
- [돈을 지배하는 물리 법칙] Chapter 1. 시세에 작용하는 관성과 작용/반작용의 법칙
- [돈을 지배하는 물리 법칙] Chapter 2. 브라운 운동으로 해석하는 투기 이론
- [돈을 지배하는 물리 법칙] Chapter 3. 천체물리학자가 파헤친 주가와 주가 수익률의 관계
- [돈을 지배하는 물리 법칙] Chapter 4. 멱 법칙과 레비 안정 분포로 알아보는 빈익빈 부익부
- [돈을 지배하는 물리 법칙] Chapter 5. 켈리의 공식으로 알아보는 포트폴리오를 분산하는 방법
- [돈을 지배하는 물리 법칙] Chapter 6. 블랙-숄즈 주가 모형으로 알아보는 주가 변화와 자산의 위험 정도
- [암호화폐가 100% 망한다고? 양자 컴퓨터와 블록체인 보안 이야기] Chapter 0. 서론
- [암호화폐가 100% 망한다고? 양자 컴퓨터와 블록체인 보안 이야기] Chapter 1. 양자 컴퓨터! 도대체 일반 컴퓨터랑 뭐가 다른 거야?
- [암호화폐가 100% 망한다고? 양자 컴퓨터와 블록체인 보안 이야기] Chapter 2. 놀라운 자연의 마법, 양자 중첩/얽힘/순간이동
- [암호화폐가 100% 망한다고? 양자 컴퓨터와 블록체인 보안 이야기] Chapter 3. 병 주고 약 주는 양자 컴퓨터? 양자 병렬성과 양자 통신 보안
- [암호화폐가 100% 망한다고? 양자 컴퓨터와 블록체인 보안 이야기] Chapter 4. 큐비트를 이용한 양자 정보 처리
- [암호화폐가 100% 망한다고? 양자 컴퓨터와 블록체인 보안 이야기] Chapter 5. 양자 정보 세상을 위해 극복해야 할 기술적 난관
- [암호화폐가 100% 망한다고? 양자 컴퓨터와 블록체인 보안 이야기] Chapter 6. 양자 컴퓨터 기술 개발! 그래서 어디까지 진행되었나?
- [암호화폐가 100% 망한다고? 양자 컴퓨터와 블록체인 보안 이야기] Chapter 7. 양자 컴퓨터가 블록체인을 죽일 것이다?
- [밤하늘의 물리학] Chapter 0. 서론
- [밤하늘의 물리학] Chapter 1. 우주론의 기원과 진화
- [밤하늘의 물리학] Chapter 2. 정적인 우주와 동적인 우주
- [밤하늘의 물리학] Chapter 3. 연주 시차와 별의 밝기-거리 관계
- [밤하늘의 물리학] Chapter 4. 세페이드 변광성과 외부 은하
- [밤하늘의 물리학] Chapter 5. 허블의 법칙과 우주의 나이, 크기, 팽창률
- [밤하늘의 물리학] Chapter 6. 빅뱅 우주론으로 알아보는 우주의 탄생과 미래
- [밤하늘의 물리학] Chapter 7. 성간 물질과 별의 탄생 과정
- [밤하늘의 물리학] Chapter 8. 허블의 분류를 통해 알아보는 은하의 종류와 형태
- [밤하늘의 물리학] Chapter 9. 은하의 충돌과 분포 및 우주의 거대 구조
- [밤하늘의 물리학] Chapter 10. 성간운의 형태와 별빛의 편광
- [밤하늘의 물리학] Chapter 11. 성간운에서의 화학 반응과 외계 생명체의 단서
- [밤하늘의 물리학] Chapter 12. 별의 진화와 수명
- [밤하늘의 물리학] Chapter 13. 별의 최후와 갈색 왜성, 행성상성운, 백색 왜성, 초신성, 중성자별, 블랙홀의 탄생
- [수리물리학 이야기] Chapter 0. 서론
- [수리물리학 이야기] Chapter 1. 오일러 공식과 테일러 급수
- [알기 쉬운 물리학] 다양한 물리학 분야와 응집물질물리학 이야기
- [신의 입자] 만물에 질량을 부여하는 입자, 힉스에 대해 알아보자. (상편)
- [신의 입자] 만물에 질량을 부여하는 입자, 힉스에 대해 알아보자. (하편)
- [모든 힘은 어디에서 비롯될까?] 자연계에 존재하는 기본 4가지 힘에 대해 알아보자.
- [도플러 효과] 너와 나의 움직임이 진동수와 파장을 바꾼다?
- [차세대 초고속 이동수단] 하이퍼루프가 왜 특별한지 알아보자!
- [차세대 초고속 이동수단] 하이퍼루프가 지닌 문제점과 그 극복 방안
- [이공계 대학원생 근로계약 체결 관련] 4개 과학기술원 간담회에 다녀왔습니다.
- [수달, 두더지, 고라니, 멧돼지] 멸종위기 천연기념물이 사는 친환경 캠퍼스
- [3D 프린터 대축제] 3D 프린팅 갈라 in 울산
- [미국 물리학회 참석기] (8) 그래핀 연구의 세계적인 권위자 김필립 교수님을 만나다.
- 물리학도가 들려주는 인터스텔라를 더 재밌게 보기 위한 18가지 이야기
- 그래핀 끼워 넣어 꿈의 다이오드 만들기
- 본문에서 사용된 모든 이미지는 구글 이미지에서 가져왔음을 밝힙니다.
- 본문을 작성하는데 있어 위키피디아 내용을 참조하였습니다.
