
안녕하세요. 훈하니 @hunhani입니다.
@beoped 님과 @yurizard 님께 자극을 받고 저도 기초적인 수리물리 내용의 포스팅을 도전해보기로 마음먹었습니다. 두 분에 비하면 한참 못 미칠 내용 혹은 이미 중복된 내용을 다룰 수도 있겠지만 애교로 봐주시겠죠? 그동안의 다른 물리학 시리즈와 달리 어쩔 수 없이 수식을 포함해 설명할 수밖에 없고 그렇다고 모든 개념을 풀어 전해드리기에는 내용이 방대합니다. 때문에 수식이 왜 이렇게 표현되고 어떻게 도출되는지 수학적으로 파고드는 것은 일반인 입장에서 글 내용을 더 어렵게 느끼게 만들 것 같더군요. 따라서 해당 수식이 결과론적으로 어떤 의미를 지니는지 어떻게 사용되는지 등에 초점을 맞춰 작성하도록 하겠습니다.

자연 상수
자연 상수는 대수적 방정식의 해가 될 수 없는 초월수입니다. 동시에 실수이지만 정수 혹은 분수의 형식으로 나타낼 수 없는 무리수입니다. 자연 로그의 밑 역할을 하는 수이기도 하죠. 미적분학을 비롯한 수학 전반에서 자연 상수를 사용하면 표기법이 놀랍도록 간단해지는 경우가 많고 자연 법칙을 표현하는 물리 공식에도 역시 자연 상수가 자주 등장합니다. 자연 상수는 다음과 같이 표현됩니다.
오일러 공식
자연 상수로 표현되는 오일러 공식은 아무 관계가 없어 보이는 지수 함수와 삼각 함수를 연결해 주는 역할을 합니다. 증명은 적어봤자 머리만 아프니 생략하고 단순히 공식이 보여주는 결과만을 들여다봅시다. 지수 함수와 삼각 함수를 연결해주는 이 공식이 무엇을 할 수 있을까요? 먼저, 오일러의 공식으로부터 삼각 함수의 덧셈정리, 삼각 함수의 미분 등을 모두 유도할 수 있습니다. 삼각 함수를 다룰 때 오일러의 공식을 알면 매우 유리한 것이죠. 또한, 처음 로그의 성질을 배울 때 아무 생각 없이 이 공식을 외워 사용해도 유용한 점이 많습니다. 그래서 정확한 의미를 몰라도 이 공식을 외워서 문제 풀이에 사용하는 고등학생들도 꽤 있더군요. 앞서 자연 상수가 자연 법칙을 표현하는 물리 공식에도 자주 등장한다고 했는데, 이 오일러 공식도 물론 그렇습니다. 대표적으로, 양자역학의 파동 함수 해를 표현하고 변환하는데 이 오일러 공식이 사용되지요.
테일러급수
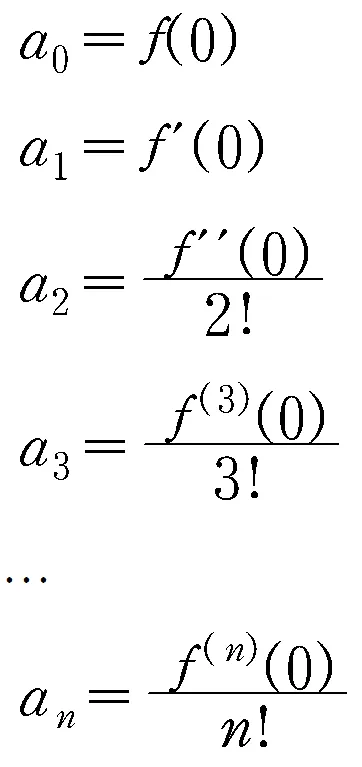
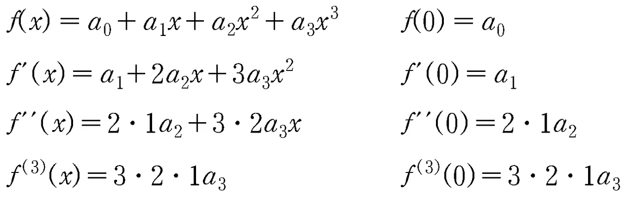
만약 x에 대한 함수가 다음과 같이 주어졌다면 f(0) = a0 가 되지요. 그렇다면 f’(0) 와 다른 계수는 어떠한 관계가 있을까요? 미분해 보면 쉽게 알 수 있는데요.
따라서 다음 식들이 성립합니다.
이처럼 n번 미분한 함수를 구할 수 있다면, 어떠한 함수라도 (심지어 다항식으로 표현되지 않는 초월 함수라고 할지라도) 다항식을 포함한 x에 대한 무한급수로 나타낼 수 있습니다. 이러한 표현 방식을 테일러급수라고 하죠.
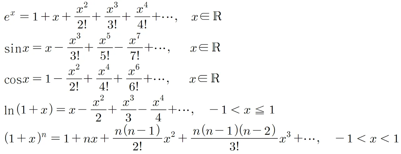
테일러급수는 수렴하는 급수가 의미가 있습니다. 수렴하지 않으면 굳이 다항식의 무한급수로로 표현하는 것이 의미가 없기 때문이죠. 위는 지수 함수와 삼각 함수를 비롯한 초월 함수의 테일러급수 전개 결과입니다. 급수 옆에 수렴 구간을 적어두었습니다.
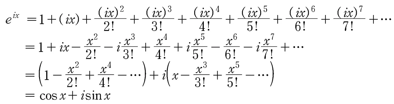
오일러 공식의 증명
오일러의 공식은 다양한 방법으로 증명할 수 있지만 지수 함수와 삼각 함수의 테일러급수를 이용하여 아래와 같이 손쉽게 증명할 수 있습니다.
다음 편을 기대해주세요!
지난 이야기
- [돈을 지배하는 물리 법칙] Chapter 0. 서론
- [돈을 지배하는 물리 법칙] Chapter 1. 시세에 작용하는 관성과 작용/반작용의 법칙
- [돈을 지배하는 물리 법칙] Chapter 2. 브라운 운동으로 해석하는 투기 이론
- [돈을 지배하는 물리 법칙] Chapter 3. 천체물리학자가 파헤친 주가와 주가 수익률의 관계
- [돈을 지배하는 물리 법칙] Chapter 4. 멱 법칙과 레비 안정 분포로 알아보는 빈익빈 부익부
- [돈을 지배하는 물리 법칙] Chapter 5. 켈리의 공식으로 알아보는 포트폴리오를 분산하는 방법
- [돈을 지배하는 물리 법칙] Chapter 6. 블랙-숄즈 주가 모형으로 알아보는 주가 변화와 자산의 위험 정도
- [암호화폐가 100% 망한다고? 양자 컴퓨터와 블록체인 보안 이야기] Chapter 0. 서론
- [암호화폐가 100% 망한다고? 양자 컴퓨터와 블록체인 보안 이야기] Chapter 1. 양자 컴퓨터! 도대체 일반 컴퓨터랑 뭐가 다른 거야?
- [암호화폐가 100% 망한다고? 양자 컴퓨터와 블록체인 보안 이야기] Chapter 2. 놀라운 자연의 마법, 양자 중첩/얽힘/순간이동
- [암호화폐가 100% 망한다고? 양자 컴퓨터와 블록체인 보안 이야기] Chapter 3. 병 주고 약 주는 양자 컴퓨터? 양자 병렬성과 양자 통신 보안
- [암호화폐가 100% 망한다고? 양자 컴퓨터와 블록체인 보안 이야기] Chapter 4. 큐비트를 이용한 양자 정보 처리
- [암호화폐가 100% 망한다고? 양자 컴퓨터와 블록체인 보안 이야기] Chapter 5. 양자 정보 세상을 위해 극복해야 할 기술적 난관
- [암호화폐가 100% 망한다고? 양자 컴퓨터와 블록체인 보안 이야기] Chapter 6. 양자 컴퓨터 기술 개발! 그래서 어디까지 진행되었나?
- [암호화폐가 100% 망한다고? 양자 컴퓨터와 블록체인 보안 이야기] Chapter 7. 양자 컴퓨터가 블록체인을 죽일 것이다?
- [밤하늘의 물리학] Chapter 0. 서론
- [밤하늘의 물리학] Chapter 1. 우주론의 기원과 진화
- [밤하늘의 물리학] Chapter 2. 정적인 우주와 동적인 우주
- [밤하늘의 물리학] Chapter 3. 연주 시차와 별의 밝기-거리 관계
- [밤하늘의 물리학] Chapter 4. 세페이드 변광성과 외부 은하
- [밤하늘의 물리학] Chapter 5. 허블의 법칙과 우주의 나이, 크기, 팽창률
- [밤하늘의 물리학] Chapter 6. 빅뱅 우주론으로 알아보는 우주의 탄생과 미래
- [밤하늘의 물리학] Chapter 7. 성간 물질과 별의 탄생 과정
- [밤하늘의 물리학] Chapter 8. 허블의 분류를 통해 알아보는 은하의 종류와 형태
- [밤하늘의 물리학] Chapter 9. 은하의 충돌과 분포 및 우주의 거대 구조
- [밤하늘의 물리학] Chapter 10. 성간운의 형태와 별빛의 편광
- [밤하늘의 물리학] Chapter 11. 성간운에서의 화학 반응과 외계 생명체의 단서
- [밤하늘의 물리학] Chapter 12. 별의 진화와 수명
- [밤하늘의 물리학] Chapter 13. 별의 최후와 갈색 왜성, 행성상성운, 백색 왜성, 초신성, 중성자별, 블랙홀의 탄생
- [수리물리학 이야기] Chapter 0. 서론
- [알기 쉬운 물리학] 다양한 물리학 분야와 응집물질물리학 이야기
- [신의 입자] 만물에 질량을 부여하는 입자, 힉스에 대해 알아보자. (상편)
- [신의 입자] 만물에 질량을 부여하는 입자, 힉스에 대해 알아보자. (하편)
- [모든 힘은 어디에서 비롯될까?] 자연계에 존재하는 기본 4가지 힘에 대해 알아보자.
- [도플러 효과] 너와 나의 움직임이 진동수와 파장을 바꾼다?
- [차세대 초고속 이동수단] 하이퍼루프가 왜 특별한지 알아보자!
- [차세대 초고속 이동수단] 하이퍼루프가 지닌 문제점과 그 극복 방안
- [이공계 대학원생 근로계약 체결 관련] 4개 과학기술원 간담회에 다녀왔습니다.
- [수달, 두더지, 고라니, 멧돼지] 멸종위기 천연기념물이 사는 친환경 캠퍼스
- [3D 프린터 대축제] 3D 프린팅 갈라 in 울산
- [미국 물리학회 참석기] (8) 그래핀 연구의 세계적인 권위자 김필립 교수님을 만나다.
- 물리학도가 들려주는 인터스텔라를 더 재밌게 보기 위한 18가지 이야기
- 그래핀 끼워 넣어 꿈의 다이오드 만들기
- 본문에서 사용된 모든 이미지는 구글 이미지에서 가져왔음을 밝힙니다.
- 본문을 작성하는데 있어 위키피디아 내용을 참조하였습니다.
