
안녕하세요. 훈하니 @hunhani입니다.
@beoped 님과 @yurizard 님께 자극을 받고 저도 기초적인 수리물리 내용의 포스팅을 도전해보기로 마음먹었습니다. 두 분에 비하면 한참 못 미칠 내용 혹은 이미 중복된 내용을 다룰 수도 있겠지만 애교로 봐주시겠죠? 그동안의 다른 물리학 시리즈와 달리 어쩔 수 없이 수식을 포함해 설명할 수밖에 없고 그렇다고 모든 개념을 풀어 전해드리기에는 내용이 방대합니다. 때문에 수식이 왜 이렇게 표현되고 어떻게 도출되는지 수학적으로 파고드는 것은 일반인 입장에서 글 내용을 더 어렵게 느끼게 만들 것 같더군요. 따라서 해당 수식이 결과론적으로 어떤 의미를 지니는지 어떻게 사용되는지 등에 초점을 맞춰 작성하도록 하겠습니다.

푸리에 변환 및 역변환
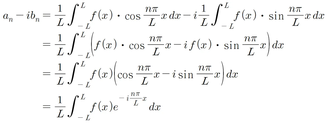
[수리물리학 이야기] Chapter 3. 푸리에 해석과 푸리에 계수에서 주기함수는 삼각함수들의 합으로 표현할 수 있다는 것을 알아보았습니다. 그렇다면 ‘주기가 없는 함수도 삼각함수들의 합으로 표현할 수 있을까?’라는 의문을 가질 수 있겠죠. 그 질문에 대한 대답은 ‘그렇다’입니다. 주기가 없다는 것은 주기가 무한대가 된다는 것입니다. 그러니 적분구간을 (-∞, ∞)로 잡아서 적분하면 됩니다. 푸리에 계수들은 n값에 따라 변하므로 n에 대한 함수가 되겠지요. [수리물리학 이야기] Chapter 3. 푸리에 해석과 푸리에 계수에서 선보인 것처럼 오일러의 공식을 이용하여 푸리에 계수들에 관한 적분을 아래와 같이 한 개의 적분으로 표현할 수가 있습니다.
위 식은 에 대한 함수이므로 g(n)으로 표현하겠습니다.
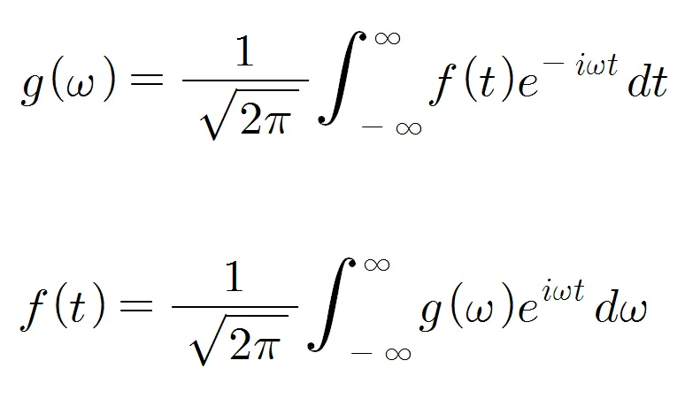
이제 적분구간을 (-∞, ∞)로 잡아서 적분하는데 이를 푸리에 변환이라고 합니다.
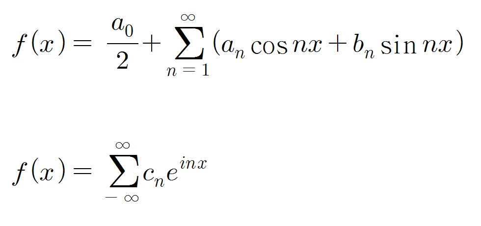
푸리에 계수는 주기함수에 관하여 각각 띄엄띄엄 떨어진, 즉 이산적인 주파수들의 분포를 나타내며 푸리에 계수가 클수록 해당 주파수의 기여도가 크다고 할 수 있습니다. 푸리에 변환으로 얻은 함수 g(α)는 비주기 함수에 관하여 쭉 연결된, 즉 연속적인 주파수 분포가 나타냅니다.
푸리에 급수에서 처음 사용한 식은 오일러의 공식을 이용하여 다음과 같이 복소수를 사용한 형태로 바꾸어 쓸 수 있죠.
f(x)의 계수 cn은 푸리에 계수들인 an, bn에 의해서 결정되는데요.
이 식에 연속조건을 추가하여 급수를 적분으로 치환하는 것을 푸리에 역변환이라고 합니다.
위 식에서 g(α)는 앞의 푸리에 변환에서 나오는 함수입니다.
푸리에 변환과 역변환은 통신제어 공학을 하는데 신호와 그 주파수를 분석하는데 쓰입니다. 어떠한 함수(신호) f(x)가 주어졌을 때, 각각의 주파수에 대한 분포 g(ω)를 알고 싶은 경우에는 푸리에 변환을 사용합니다. 또한, 반대로 각각의 주파수에 관한 분포 g(ω)가 주어졌을 때는 푸리에 역변환을 사용해 원래의 함수(신호) f(x)를 알 수 있지요. 이를 이용하여 특정 주파수 대역의 크기를 줄이거나 키우는 디지털 필터를 구성하거나 AM 및 FM 아날로그 통신의 신호를 분석할 수 있습니다. 디지털 데이터를 만들고 고속 푸리에 역변환을 한 후 아날로그 신호로 만들어 날리는 작업이 바로 현재의 LTE 등에서 사용하는 OFDM입니다.
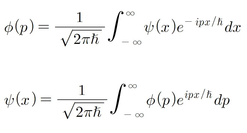
양자역학에서는 위치에 대한 상태, 운동량에 대한 상태를 치환하는데 푸리에 변환 및 역변환을 사용하며 이를 통해 아래와 같이 자유입자의 상태를 기술할 수 있습니다. 임의의 공간에서의 모든 파동함수는 반드시 빈 공간의 슈뢰딩거 방정식의 해인 평면파 꼴의 선형 결합으로 표현이 가능한데, 이를 푸리에 공간에서 해석하면 정량적으로 표현할 수 있죠. 입자의 위치 및 시간에 대응하는 파동벡터 및 진동수를 연결 짓는데 있어 푸리에 변환 및 역변환을 일종의 입자-파동 이중성의 수학적 근거로 인정하는 것입니다.
이외에도 유체역학에서 풀기 어려운 편미분방정식의 형태에 속하는 나비에-스톡스 방정식에 몇 가지 물리적 조건을 더해 푸리에 해석을 사용하면 컴퓨터로 방정식을 계산해내는 것이 가능합니다. 고체물리학에서는 고체의 결정 구조를 다룰 때 아예 주기성을 갖고 반복되는 계를 분석해야 하는데 푸리에 해석이 아주 유용하게 쓰이지요.
다음 편을 기대해주세요!
지난 이야기
- [돈을 지배하는 물리 법칙] Chapter 0. 서론
- [돈을 지배하는 물리 법칙] Chapter 1. 시세에 작용하는 관성과 작용/반작용의 법칙
- [돈을 지배하는 물리 법칙] Chapter 2. 브라운 운동으로 해석하는 투기 이론
- [돈을 지배하는 물리 법칙] Chapter 3. 천체물리학자가 파헤친 주가와 주가 수익률의 관계
- [돈을 지배하는 물리 법칙] Chapter 4. 멱 법칙과 레비 안정 분포로 알아보는 빈익빈 부익부
- [돈을 지배하는 물리 법칙] Chapter 5. 켈리의 공식으로 알아보는 포트폴리오를 분산하는 방법
- [돈을 지배하는 물리 법칙] Chapter 6. 블랙-숄즈 주가 모형으로 알아보는 주가 변화와 자산의 위험 정도
- [암호화폐가 100% 망한다고? 양자 컴퓨터와 블록체인 보안 이야기] Chapter 0. 서론
- [암호화폐가 100% 망한다고? 양자 컴퓨터와 블록체인 보안 이야기] Chapter 1. 양자 컴퓨터! 도대체 일반 컴퓨터랑 뭐가 다른 거야?
- [암호화폐가 100% 망한다고? 양자 컴퓨터와 블록체인 보안 이야기] Chapter 2. 놀라운 자연의 마법, 양자 중첩/얽힘/순간이동
- [암호화폐가 100% 망한다고? 양자 컴퓨터와 블록체인 보안 이야기] Chapter 3. 병 주고 약 주는 양자 컴퓨터? 양자 병렬성과 양자 통신 보안
- [암호화폐가 100% 망한다고? 양자 컴퓨터와 블록체인 보안 이야기] Chapter 4. 큐비트를 이용한 양자 정보 처리
- [암호화폐가 100% 망한다고? 양자 컴퓨터와 블록체인 보안 이야기] Chapter 5. 양자 정보 세상을 위해 극복해야 할 기술적 난관
- [암호화폐가 100% 망한다고? 양자 컴퓨터와 블록체인 보안 이야기] Chapter 6. 양자 컴퓨터 기술 개발! 그래서 어디까지 진행되었나?
- [암호화폐가 100% 망한다고? 양자 컴퓨터와 블록체인 보안 이야기] Chapter 7. 양자 컴퓨터가 블록체인을 죽일 것이다?
- [밤하늘의 물리학] Chapter 0. 서론
- [밤하늘의 물리학] Chapter 1. 우주론의 기원과 진화
- [밤하늘의 물리학] Chapter 2. 정적인 우주와 동적인 우주
- [밤하늘의 물리학] Chapter 3. 연주 시차와 별의 밝기-거리 관계
- [밤하늘의 물리학] Chapter 4. 세페이드 변광성과 외부 은하
- [밤하늘의 물리학] Chapter 5. 허블의 법칙과 우주의 나이, 크기, 팽창률
- [밤하늘의 물리학] Chapter 6. 빅뱅 우주론으로 알아보는 우주의 탄생과 미래
- [밤하늘의 물리학] Chapter 7. 성간 물질과 별의 탄생 과정
- [밤하늘의 물리학] Chapter 8. 허블의 분류를 통해 알아보는 은하의 종류와 형태
- [밤하늘의 물리학] Chapter 9. 은하의 충돌과 분포 및 우주의 거대 구조
- [밤하늘의 물리학] Chapter 10. 성간운의 형태와 별빛의 편광
- [밤하늘의 물리학] Chapter 11. 성간운에서의 화학 반응과 외계 생명체의 단서
- [밤하늘의 물리학] Chapter 12. 별의 진화와 수명
- [밤하늘의 물리학] Chapter 13. 별의 최후와 갈색 왜성, 행성상성운, 백색 왜성, 초신성, 중성자별, 블랙홀의 탄생
- [수리물리학 이야기] Chapter 0. 서론
- [수리물리학 이야기] Chapter 1. 오일러 공식과 테일러 급수
- [수리물리학 이야기] Chapter 2. 크로네커 델타와 푸리에 급수
- [수리물리학 이야기] Chapter 3. 푸리에 해석과 푸리에 계수
- [알기 쉬운 물리학] 다양한 물리학 분야와 응집물질물리학 이야기
- [신의 입자] 만물에 질량을 부여하는 입자, 힉스에 대해 알아보자. (상편)
- [신의 입자] 만물에 질량을 부여하는 입자, 힉스에 대해 알아보자. (하편)
- [모든 힘은 어디에서 비롯될까?] 자연계에 존재하는 기본 4가지 힘에 대해 알아보자.
- [도플러 효과] 너와 나의 움직임이 진동수와 파장을 바꾼다?
- [차세대 초고속 이동수단] 하이퍼루프가 왜 특별한지 알아보자!
- [차세대 초고속 이동수단] 하이퍼루프가 지닌 문제점과 그 극복 방안
- [이공계 대학원생 근로계약 체결 관련] 4개 과학기술원 간담회에 다녀왔습니다.
- [수달, 두더지, 고라니, 멧돼지] 멸종위기 천연기념물이 사는 친환경 캠퍼스
- [3D 프린터 대축제] 3D 프린팅 갈라 in 울산
- [미국 물리학회 참석기] (8) 그래핀 연구의 세계적인 권위자 김필립 교수님을 만나다.
- 물리학도가 들려주는 인터스텔라를 더 재밌게 보기 위한 18가지 이야기
- 그래핀 끼워 넣어 꿈의 다이오드 만들기
- 본문에서 사용된 모든 이미지는 구글 이미지에서 가져왔음을 밝힙니다.
- 본문을 작성하는데 있어 위키피디아 내용을 참조하였습니다.
