
안녕하세요. 훈하니 @hunhani입니다.
@beoped 님과 @yurizard 님께 자극을 받고 저도 기초적인 수리물리 내용의 포스팅을 도전해보기로 마음먹었습니다. 두 분에 비하면 한참 못 미칠 내용 혹은 이미 중복된 내용을 다룰 수도 있겠지만 애교로 봐주시겠죠? 그동안의 다른 물리학 시리즈와 달리 어쩔 수 없이 수식을 포함해 설명할 수밖에 없고 그렇다고 모든 개념을 풀어 전해드리기에는 내용이 방대합니다. 때문에 수식이 왜 이렇게 표현되고 어떻게 도출되는지 수학적으로 파고드는 것은 일반인 입장에서 글 내용을 더 어렵게 느끼게 만들 것 같더군요. 따라서 해당 수식이 결과론적으로 어떤 의미를 지니는지 어떻게 사용되는지 등에 초점을 맞춰 작성하도록 하겠습니다.

팩토리얼
팩토리얼이란 간단하게 말해, 1부터 그 수까지의 모든 자연수를 곱하는 것입니다.
이 느낌표 !를 팩토리얼, 줄여서 팩이라고 읽습니다. 차례곱 혹은 계승이라고도 표현합니다.
팩토리얼에서 n은 원래 자연수에 한정되어 정의하지만 n의 범위를 자연수에서 실수 전체(음수는 제외)로 확장할 수 있는데요. 그 방법은 아래에서 소개하도록 하겠습니다.
감마 함수
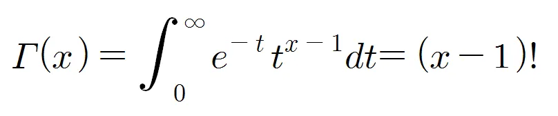
감마 함수는 확률 분포를 비롯한 여러 확률과 통계, 조합론, 그 외 여러 공학 분야들에서 유용하게 사용됩니다. 특히 양자역학의 적분 계산에 자주 등장하는데요. 감마함수는 팩토리얼을 이용하여 다음과 같이 정적분으로 정의합니다.
적분은 t로 하지만 분명히 x에 관한 함수임을 유의해야 합니다.
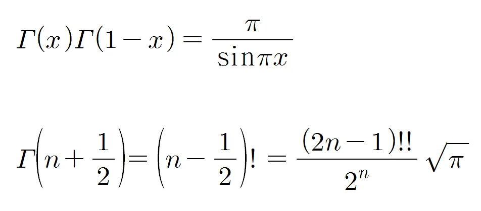
감마함수에 관한 몇 가지 성질을 소개하겠습니다.
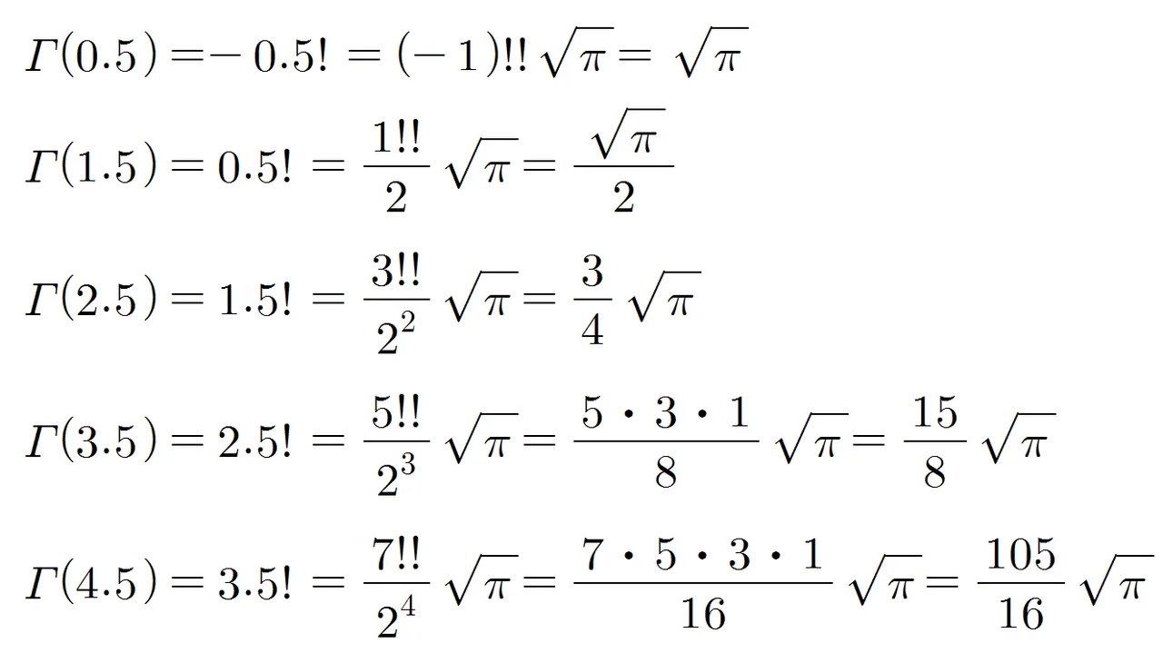
자연수에 대한 감마 함수 값은 자주 찾아볼 수 있지만 유리수에 대한 감마 함수 값은 바로 찾아볼 수 없기에 정리해보았습니다. 공학용 계산기로 일일이 두들겨 본 것은 비밀 아닌 비밀입니다.
감마함수는 함수의 정의역을 자연수에서 실수 전체(음수는 제외)로 늘릴 수 있습니다. 즉, 팩토리얼에서 n은 원래 자연수에 한정되어 정의하지만 감마함수를 통해 n의 범위를 자연수에서 실수 전체(음수는 제외)로 확장하는 것이 가능해집니다.
가령, Γ(1) = 1 임에 주목해 봅시다. 제가 무엇을 말하고자 하는지 감이 오시나요? 그렇습니다. Γ(1) = 0! 인데 Γ(1) = 1 이므로 0! = 1 임을 알 수 있습니다. 0! = 1 인 것은 보통 고등학생들이 외우고 있지만 왜 0! = 1 이냐고 물어보면 대답을 하지 못하지요. 고등학교 선생님들께 여쭈어 봐도 친절한 답변을 듣기 힘든데 그 이유는 바로 이 감마 함수를 먼저 설명해 주어야하기 때문입니다. 혹시라도 고등학생 자녀 혹은 동생을 둔 분이 계시다면, 왜 0!이 0이 아니고 1이냐고 묻는다면, 자랑스럽게 0! = Γ(1) = 1 이라서 그렇다고 대답해준다면 멋쟁이가 되실 수 있습니다.
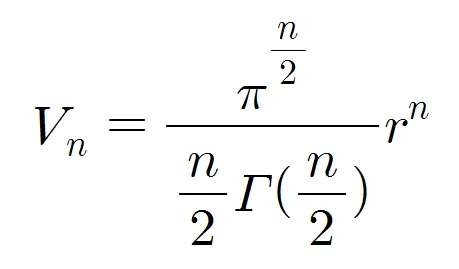
이외에 감마 함수가 이용되는 대표적인 예로 초구의 부피와 감마 분포를 들 수 있습니다. 감마 함수로 초구의 부피를 표현할 수 있고 감마 분포라는 새로운 확률 밀도 함수를 정의할 수 있지요.
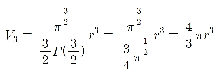
n차원의 초구의 부피 Vn은 다음과 같이 나타내집니다.
n에 3을 대입하면 우리가 알고 있는 3차원 구의 부피가 얻어집니다.
이처럼 n차원의 초구의 부피를 감마함수를 통해 바로 표현할 수 있다는 것이 신가하죠?
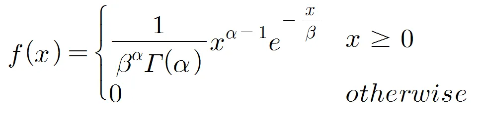
감마 함수의 피적분 함수를 감마 함수의 적분 값으로 나눈 함수를 실수의 양수 축에서 적분을 하면 1이 되는데요. 따라서 이를 이용해 새로운 분포를 정의할 수 있게 됩니다. 이 분포를 감마 분포라 하고, 그 확률 밀도 함수 f(x)는 다음과 같습니다. 참고로 α, β는 감마 함수의 매개 변수이며 양의 실수가 됩니다. 감마 분포는 지수 분포나 푸아송 분포 등의 매개변수에 대한 켤레 사전 확률 분포이며, 이에 따라 지식 또는 믿음의 정도를 나타내는 양을 해석하는 베이즈 확률론에서 사전 확률 분포로 사용됩니다.
다음 편을 기대해주세요!
지난 이야기
- [돈을 지배하는 물리 법칙] Chapter 0. 서론
- [돈을 지배하는 물리 법칙] Chapter 1. 시세에 작용하는 관성과 작용/반작용의 법칙
- [돈을 지배하는 물리 법칙] Chapter 2. 브라운 운동으로 해석하는 투기 이론
- [돈을 지배하는 물리 법칙] Chapter 3. 천체물리학자가 파헤친 주가와 주가 수익률의 관계
- [돈을 지배하는 물리 법칙] Chapter 4. 멱 법칙과 레비 안정 분포로 알아보는 빈익빈 부익부
- [돈을 지배하는 물리 법칙] Chapter 5. 켈리의 공식으로 알아보는 포트폴리오를 분산하는 방법
- [돈을 지배하는 물리 법칙] Chapter 6. 블랙-숄즈 주가 모형으로 알아보는 주가 변화와 자산의 위험 정도
- [암호화폐가 100% 망한다고? 양자 컴퓨터와 블록체인 보안 이야기] Chapter 0. 서론
- [암호화폐가 100% 망한다고? 양자 컴퓨터와 블록체인 보안 이야기] Chapter 1. 양자 컴퓨터! 도대체 일반 컴퓨터랑 뭐가 다른 거야?
- [암호화폐가 100% 망한다고? 양자 컴퓨터와 블록체인 보안 이야기] Chapter 2. 놀라운 자연의 마법, 양자 중첩/얽힘/순간이동
- [암호화폐가 100% 망한다고? 양자 컴퓨터와 블록체인 보안 이야기] Chapter 3. 병 주고 약 주는 양자 컴퓨터? 양자 병렬성과 양자 통신 보안
- [암호화폐가 100% 망한다고? 양자 컴퓨터와 블록체인 보안 이야기] Chapter 4. 큐비트를 이용한 양자 정보 처리
- [암호화폐가 100% 망한다고? 양자 컴퓨터와 블록체인 보안 이야기] Chapter 5. 양자 정보 세상을 위해 극복해야 할 기술적 난관
- [암호화폐가 100% 망한다고? 양자 컴퓨터와 블록체인 보안 이야기] Chapter 6. 양자 컴퓨터 기술 개발! 그래서 어디까지 진행되었나?
- [암호화폐가 100% 망한다고? 양자 컴퓨터와 블록체인 보안 이야기] Chapter 7. 양자 컴퓨터가 블록체인을 죽일 것이다?
- [밤하늘의 물리학] Chapter 0. 서론
- [밤하늘의 물리학] Chapter 1. 우주론의 기원과 진화
- [밤하늘의 물리학] Chapter 2. 정적인 우주와 동적인 우주
- [밤하늘의 물리학] Chapter 3. 연주 시차와 별의 밝기-거리 관계
- [밤하늘의 물리학] Chapter 4. 세페이드 변광성과 외부 은하
- [밤하늘의 물리학] Chapter 5. 허블의 법칙과 우주의 나이, 크기, 팽창률
- [밤하늘의 물리학] Chapter 6. 빅뱅 우주론으로 알아보는 우주의 탄생과 미래
- [밤하늘의 물리학] Chapter 7. 성간 물질과 별의 탄생 과정
- [밤하늘의 물리학] Chapter 8. 허블의 분류를 통해 알아보는 은하의 종류와 형태
- [밤하늘의 물리학] Chapter 9. 은하의 충돌과 분포 및 우주의 거대 구조
- [밤하늘의 물리학] Chapter 10. 성간운의 형태와 별빛의 편광
- [밤하늘의 물리학] Chapter 11. 성간운에서의 화학 반응과 외계 생명체의 단서
- [밤하늘의 물리학] Chapter 12. 별의 진화와 수명
- [밤하늘의 물리학] Chapter 13. 별의 최후와 갈색 왜성, 행성상성운, 백색 왜성, 초신성, 중성자별, 블랙홀의 탄생
- [수리물리학 이야기] Chapter 0. 서론
- [수리물리학 이야기] Chapter 1. 오일러 공식과 테일러 급수
- [수리물리학 이야기] Chapter 2. 크로네커 델타와 푸리에 급수
- [수리물리학 이야기] Chapter 3. 푸리에 해석과 푸리에 계수
- [수리물리학 이야기] Chapter 4. 푸리에 변환 및 역변환
- [알기 쉬운 물리학] 다양한 물리학 분야와 응집물질물리학 이야기
- [신의 입자] 만물에 질량을 부여하는 입자, 힉스에 대해 알아보자. (상편)
- [신의 입자] 만물에 질량을 부여하는 입자, 힉스에 대해 알아보자. (하편)
- [모든 힘은 어디에서 비롯될까?] 자연계에 존재하는 기본 4가지 힘에 대해 알아보자.
- [도플러 효과] 너와 나의 움직임이 진동수와 파장을 바꾼다?
- [차세대 초고속 이동수단] 하이퍼루프가 왜 특별한지 알아보자!
- [차세대 초고속 이동수단] 하이퍼루프가 지닌 문제점과 그 극복 방안
- [이공계 대학원생 근로계약 체결 관련] 4개 과학기술원 간담회에 다녀왔습니다.
- [수달, 두더지, 고라니, 멧돼지] 멸종위기 천연기념물이 사는 친환경 캠퍼스
- [3D 프린터 대축제] 3D 프린팅 갈라 in 울산
- [미국 물리학회 참석기] (8) 그래핀 연구의 세계적인 권위자 김필립 교수님을 만나다.
- [안철수 대표를 만나다] UNIST 잔디밭 토크 콘서트
- 물리학도가 들려주는 인터스텔라를 더 재밌게 보기 위한 18가지 이야기
- 그래핀 끼워 넣어 꿈의 다이오드 만들기
- 본문에서 사용된 모든 이미지는 구글 이미지에서 가져왔음을 밝힙니다.
- 본문을 작성하는데 있어 위키피디아 내용을 참조하였습니다.
