
안녕하세요. 훈하니 @hunhani입니다.
@beoped 님과 @yurizard 님께 자극을 받고 저도 기초적인 수리물리 내용의 포스팅을 도전해보기로 마음먹었습니다. 두 분에 비하면 한참 못 미칠 내용 혹은 이미 중복된 내용을 다룰 수도 있겠지만 애교로 봐주시겠죠? 그동안의 다른 물리학 시리즈와 달리 어쩔 수 없이 수식을 포함해 설명할 수밖에 없고 그렇다고 모든 개념을 풀어 전해드리기에는 내용이 방대합니다. 때문에 수식이 왜 이렇게 표현되고 어떻게 도출되는지 수학적으로 파고드는 것은 일반인 입장에서 글 내용을 더 어렵게 느끼게 만들 것 같더군요. 따라서 해당 수식이 결과론적으로 어떤 의미를 지니는지 어떻게 사용되는지 등에 초점을 맞춰 작성하도록 하겠습니다.

원통좌표계
원통좌표계는 3차원 공간을 나타내기 위해, 평면 극좌표계에 평면에서부터의 높이를 함께 나타내어 이루어지는 좌표계입니다. 원통좌표계는 한 축을 중심으로 대칭성을 갖는 경우에 적용할 때 매우 유용하게 기술할 수 있습니다. 예를 들어, 긴 원통형 관을 지나는 유체, 도선을 지나는 전자, 도파관을 지나는 전자기파의 움직임을 기술할 때 주로 원통좌표계를 사용합니다.
직교좌표계에서의 x, y, z 와 원통좌표계에서의 ρ, ϕ, z 사이의 관계식
직교좌표계에서의 단위 벡터와 원통좌표계의 단위 벡터 사이의 관계식
원통좌표계의 길이 요소
원통좌표계의 부피 요소
원통좌표계에서의 기울기(스칼라장의 최대의 증가율을 나타내는 벡터장) 표현
원통좌표계의 발산(벡터장이 정의된 공간의 한 점에서 장이 퍼져 나오는지, 아니면 모여서 없어지는지 정도를 측정하는 1차 미분 연산자) 표현
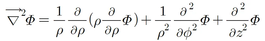
원통좌표계의 라플라시안(벡터장의 기울기의 발산을 의미하는 2차 미분 연산자) 표현
원통좌표계의 회전(3차원 벡터장을 다른 3차원 벡터장으로 대응시키는 1차 미분 연산자) 표현
구면좌표계
구면좌표계는 3차원 공간을 나타내기 위해, 원점에서의 거리, 양의 방향의 z축과 이루는 각도, z축을 축으로 양의 방향의 x축과 이루는 각을 이용하여 함께 나타내어 이루어지는 좌표계입니다. 구면좌표계는 원점을 중심으로 구 대칭성을 갖는 경우에 적용할 때 매우 유용하게 기술할 수 있습니다. 예를 들어, 구 대칭성이 있는 수소원자의 전자 궤도를 슈뢰딩거 방정식으로 풀 때, 지구(행성)이 태양(항성)을 공전하는 것처럼 천체의 역학적 위치와 움직임을 기술할 때 주로 구면좌표계를 사용합니다.
직교좌표계에서의 x, y, z 와 구면좌표계에서의 r, θ, ϕ 사이의 관계식
직교좌표계에서의 단위 벡터와 구면좌표계의 단위 벡터 사이의 관계식
구면좌표계의 길이 요소
구면좌표계의 부피 요소
구면좌표계에서의 기울기(스칼라장의 최대의 증가율을 나타내는 벡터장) 표현
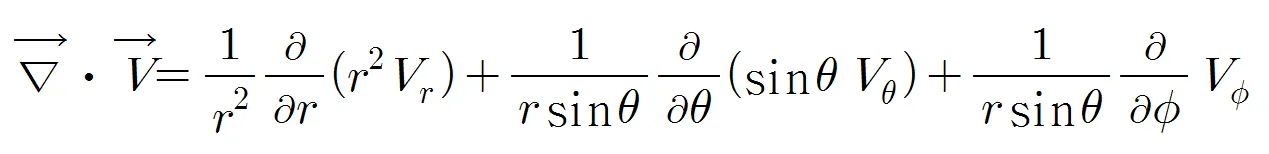
구면좌표계의 발산(벡터장이 정의된 공간의 한 점에서 장이 퍼져 나오는지, 아니면 모여서 없어지는지 정도를 측정하는 1차 미분 연산자) 표현
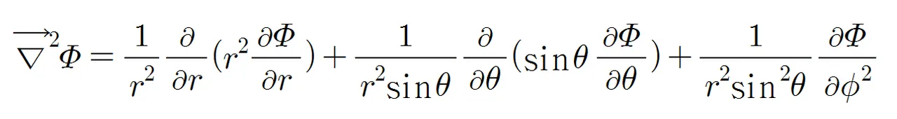
구면좌표계의 라플라시안(벡터장의 기울기의 발산을 의미하는 2차 미분 연산자) 표현
구면좌표계의 회전(3차원 벡터장을 다른 3차원 벡터장으로 대응시키는 1차 미분 연산자) 표현
다음 편을 기대해주세요!
지난 이야기
- [돈을 지배하는 물리 법칙] Chapter 0. 서론
- [돈을 지배하는 물리 법칙] Chapter 1. 시세에 작용하는 관성과 작용/반작용의 법칙
- [돈을 지배하는 물리 법칙] Chapter 2. 브라운 운동으로 해석하는 투기 이론
- [돈을 지배하는 물리 법칙] Chapter 3. 천체물리학자가 파헤친 주가와 주가 수익률의 관계
- [돈을 지배하는 물리 법칙] Chapter 4. 멱 법칙과 레비 안정 분포로 알아보는 빈익빈 부익부
- [돈을 지배하는 물리 법칙] Chapter 5. 켈리의 공식으로 알아보는 포트폴리오를 분산하는 방법
- [돈을 지배하는 물리 법칙] Chapter 6. 블랙-숄즈 주가 모형으로 알아보는 주가 변화와 자산의 위험 정도
- [암호화폐가 100% 망한다고? 양자 컴퓨터와 블록체인 보안 이야기] Chapter 0. 서론
- [암호화폐가 100% 망한다고? 양자 컴퓨터와 블록체인 보안 이야기] Chapter 1. 양자 컴퓨터! 도대체 일반 컴퓨터랑 뭐가 다른 거야?
- [암호화폐가 100% 망한다고? 양자 컴퓨터와 블록체인 보안 이야기] Chapter 2. 놀라운 자연의 마법, 양자 중첩/얽힘/순간이동
- [암호화폐가 100% 망한다고? 양자 컴퓨터와 블록체인 보안 이야기] Chapter 3. 병 주고 약 주는 양자 컴퓨터? 양자 병렬성과 양자 통신 보안
- [암호화폐가 100% 망한다고? 양자 컴퓨터와 블록체인 보안 이야기] Chapter 4. 큐비트를 이용한 양자 정보 처리
- [암호화폐가 100% 망한다고? 양자 컴퓨터와 블록체인 보안 이야기] Chapter 5. 양자 정보 세상을 위해 극복해야 할 기술적 난관
- [암호화폐가 100% 망한다고? 양자 컴퓨터와 블록체인 보안 이야기] Chapter 6. 양자 컴퓨터 기술 개발! 그래서 어디까지 진행되었나?
- [암호화폐가 100% 망한다고? 양자 컴퓨터와 블록체인 보안 이야기] Chapter 7. 양자 컴퓨터가 블록체인을 죽일 것이다?
- [밤하늘의 물리학] Chapter 0. 서론
- [밤하늘의 물리학] Chapter 1. 우주론의 기원과 진화
- [밤하늘의 물리학] Chapter 2. 정적인 우주와 동적인 우주
- [밤하늘의 물리학] Chapter 3. 연주 시차와 별의 밝기-거리 관계
- [밤하늘의 물리학] Chapter 4. 세페이드 변광성과 외부 은하
- [밤하늘의 물리학] Chapter 5. 허블의 법칙과 우주의 나이, 크기, 팽창률
- [밤하늘의 물리학] Chapter 6. 빅뱅 우주론으로 알아보는 우주의 탄생과 미래
- [밤하늘의 물리학] Chapter 7. 성간 물질과 별의 탄생 과정
- [밤하늘의 물리학] Chapter 8. 허블의 분류를 통해 알아보는 은하의 종류와 형태
- [밤하늘의 물리학] Chapter 9. 은하의 충돌과 분포 및 우주의 거대 구조
- [밤하늘의 물리학] Chapter 10. 성간운의 형태와 별빛의 편광
- [밤하늘의 물리학] Chapter 11. 성간운에서의 화학 반응과 외계 생명체의 단서
- [밤하늘의 물리학] Chapter 12. 별의 진화와 수명
- [밤하늘의 물리학] Chapter 13. 별의 최후와 갈색 왜성, 행성상성운, 백색 왜성, 초신성, 중성자별, 블랙홀의 탄생
- [수리물리학 이야기] Chapter 0. 서론
- [수리물리학 이야기] Chapter 1. 오일러 공식과 테일러 급수
- [수리물리학 이야기] Chapter 2. 크로네커 델타와 푸리에 급수
- [수리물리학 이야기] Chapter 3. 푸리에 해석과 푸리에 계수
- [수리물리학 이야기] Chapter 4. 푸리에 변환 및 역변환
- [수리물리학 이야기] Chapter 5. 팩토리얼과 감마 함수
- [수리물리학 이야기] Chapter 6. 가우스 함수와 가우스 적분
- [알기 쉬운 물리학] 다양한 물리학 분야와 응집물질물리학 이야기
- [신의 입자] 만물에 질량을 부여하는 입자, 힉스에 대해 알아보자. (상편)
- [신의 입자] 만물에 질량을 부여하는 입자, 힉스에 대해 알아보자. (하편)
- [모든 힘은 어디에서 비롯될까?] 자연계에 존재하는 기본 4가지 힘에 대해 알아보자.
- [도플러 효과] 너와 나의 움직임이 진동수와 파장을 바꾼다?
- [차세대 초고속 이동수단] 하이퍼루프가 왜 특별한지 알아보자!
- [차세대 초고속 이동수단] 하이퍼루프가 지닌 문제점과 그 극복 방안
- [이공계 대학원생 근로계약 체결 관련] 4개 과학기술원 간담회에 다녀왔습니다.
- [수달, 두더지, 고라니, 멧돼지] 멸종위기 천연기념물이 사는 친환경 캠퍼스
- [3D 프린터 대축제] 3D 프린팅 갈라 in 울산
- [미국 물리학회 참석기] (8) 그래핀 연구의 세계적인 권위자 김필립 교수님을 만나다.
- [안철수 대표를 만나다] UNIST 잔디밭 토크 콘서트
- 물리학도가 들려주는 인터스텔라를 더 재밌게 보기 위한 18가지 이야기
- 그래핀 끼워 넣어 꿈의 다이오드 만들기
- 본문에서 사용된 모든 이미지는 구글 이미지에서 가져왔음을 밝힙니다.
- 본문을 작성하는데 있어 위키피디아 내용을 참조하였습니다.
