
안녕하세요. 훈하니 @hunhani입니다.
@beoped 님과 @yurizard 님께 자극을 받고 저도 기초적인 수리물리 내용의 포스팅을 도전해보기로 마음먹었습니다. 두 분에 비하면 한참 못 미칠 내용 혹은 이미 중복된 내용을 다룰 수도 있겠지만 애교로 봐주시겠죠? 그동안의 다른 물리학 시리즈와 달리 어쩔 수 없이 수식을 포함해 설명할 수밖에 없고 그렇다고 모든 개념을 풀어 전해드리기에는 내용이 방대합니다. 때문에 수식이 왜 이렇게 표현되고 어떻게 도출되는지 수학적으로 파고드는 것은 일반인 입장에서 글 내용을 더 어렵게 느끼게 만들 것 같더군요. 따라서 해당 수식이 결과론적으로 어떤 의미를 지니는지 어떻게 사용되는지 등에 초점을 맞춰 작성하도록 하겠습니다.

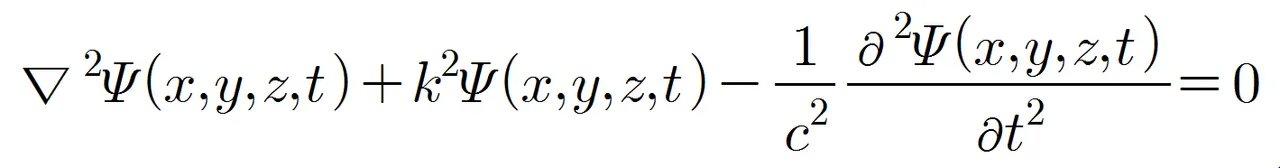
(1) 시간 의존 파동 방정식
일반적인 파동을 다루는 2차 편미분 방정식입니다. 음파와 전자기파, 수면파 등을 다루기 위하여 음향학, 전자기학, 유체역학 등 물리학의 여러 분야에 등장합니다. 양자역학의 등장으로 입자의 존재는 확률로 기술되고 그 확률은 파동처럼 행동한다는 것이 알려진 이후, 슈뢰딩거 방정식이 탄생하기도 했지요.
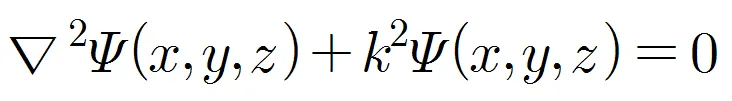
(2) 헬름홀츠 (Helmholtz) 방정식 (시간 비의존 파동 방정식)
시간 의존 파동 방정식에서 변수분리를 거쳐 시간에 대해 독립적으로 공간에 대한 풀이로만 관련시킨 2차 편미분 방정식입니다. 시간에 무관한 형태로 풀어냈기 때문에 현의 진동, 얇은 막의 진동, 음파, 전자파, 수면파, 양자상태 등의 정상상태를 기술할 수 있습니다.
(3) 푸아송 (Poisson) 방정식, 라플라스 (Laplace) 방정식
고유값이 0인 라플라스 연산자의 고유함수가 만족시키는 2차 편미분 방정식입니다. 전자기학에서 전하의 분포에 의한 전기장 및 전위 계산 혹은 천문학에서 천체의 분포에 의한 중력장 및 퍼텐셜 계산 등에 쓰입니다. 라플라스 방정식의 해를 조화함수라고도 하죠. 푸아송 방정식은 라플라스 방정식을 일반화한 것입니다. 반대로 라플라스 방정식이 푸아송 방정식의 특수한 경우에 해당한다고 볼 수 있지요.
(4) 확산 (Diffusion) 방정식
마르코프 연쇄 및 브라운 운동과 연관되어 열역학에서 열 확산 과정은 물론 각 미세 입자의 무작위 운동으로 인한 물질에서의 미세 입자의 집단 거동을 기술합니다.
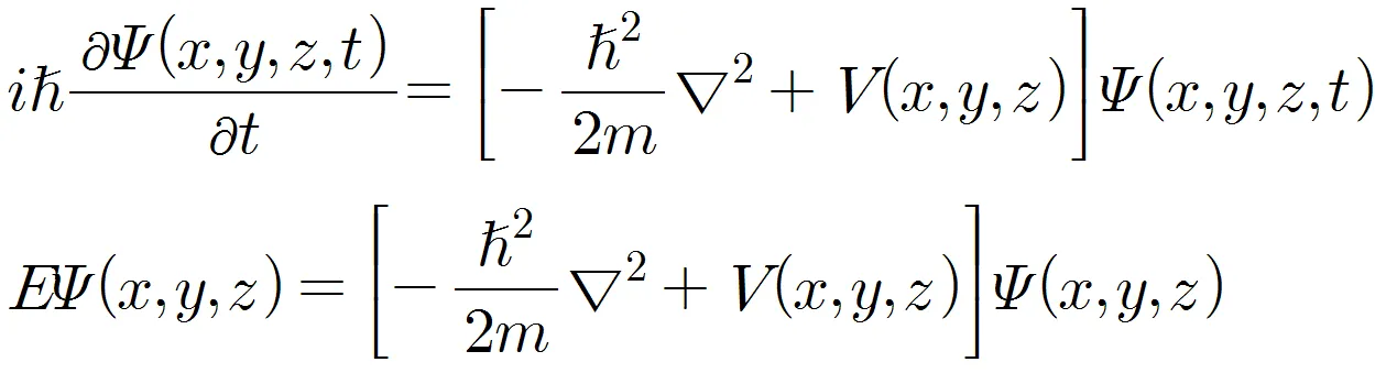
(5) 슈뢰딩거 (Schrödinger) 방정식
비상대론적 양자역학적 계의 시간에 따른 진화를 나타내는 선형 2차 편미분 방정식입니다. 고전 해밀턴 역학의 해밀토니안을 양자화하여 표현한 것으로 에너지와 운동량을 양자역학적 연산자로 대치하여 얻어낼 수 있습니다. 입자의 존재를 기술하는 존재 확률은 시간에 따라 변화하며, 변화하는 양상은 파동의 그것과 비슷하여 양자역학에서 입자의 상태를 기술하는 양식이 슈뢰딩거 방정식이 됩니다. 슈뢰딩거 방정식은 그 자체로 파동 방정식이므로 시간 의존 및 시간 비의존 두 가지 형태로 표현할 수 있습니다. 기존에 알고 있던 뉴턴역학(고전역학)과 다르게 슈뢰딩거 방정식으로부터 알 수 있는 입자의 여러 가지 물리량이 띄엄띄엄한 값을 갖고 있는 경우가 많습니다. 이 때문에 덩어리지어진 것을 뜻하는 양자라는 용어를 사용하여 이러한 이론체계를 양자역학이라 부르는 것입니다. 대상이 우리 일상생활에서 접할 수 있는 정도의 크기가 되면 그러한 양자역학적인 효과는 거의 나타나지 않아 고전역학으로도 충분히 기술될 수 있지만 눈에 보이지 않는 미시세계로 가면 양자역학적 효과가 지배적으로 나타납니다. 그렇다고 고전역학과 양자역학이 서로 연관이 없는 것은 결코 아닙니다. 거시적인 현상을 잘 설명할 수 있었던 기존의 고전역학은 양자역학의 한 근사 형태로 볼 수 있습니다. 즉, 양자역학의 특정 조건에서 근사를 사용하면 고전역학의 효과가 나타나는 것이죠. 따라서 고전역학의 이론체계는 양자역학을 새로이 구성하는 출발이 된다고 할 수 있겠습니다.
(6) 클라인-고든 (Klein-Gordon) 방정식
양자장론에서 스칼라 장을 다루는 질량-에너지 등가성을 포함한 상대론적 파동 방정식입니다. 즉, 특수 상대성 이론의 질량-에너지 등가성을 양자역학적으로 기술한 것이라고 할 수 있습니다. 다른 모든 상대론적 파동 방정식의 기본을 이루는 방정식입니다. 예를 들어, 스핀 1/2의 디락 방정식 혹은 스핀 1의 프로카 방정식 모두 클라인-고든 방정식의 특수한 경우에 해당합니다. 따라서 모든 디락 방정식 및 프로카 방정식 해는 클라인-고든 방정식을 만족하지요. 물론, 그 역은 성립하지 않지만요. 참고로 클라인-고든 방정식을 따르는 장은 슈뢰딩거 방정식처럼 단일 입자의 확률 진폭으로 해석할 수 없습니다. 시간에 대한 2차 편미분 방정식이라서 그 자체로 음의 에너지 의미를 내포하고 있고 또한 확률 흐름을 보존하지 않기 때문인데요. 다만, 시간에 대해 앞뒤로 전파하는 입자에 대한 기술이라고 해석할 수 있습니다. 힉스 입자 혹은 다른 스칼라 및 유사 스칼라 기본 입자 (초대칭에서 등장하는 여러 입자) 혹은 스핀 0의 복합 입자 (스칼라 중간자 따위)를 다룰 때 유용하게 사용됩니다.
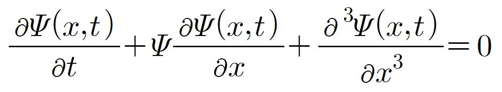
(7) 코르테버흐-더프리스 (Korteweg-de Vries) 방정식
솔리톤(Soliton)의 운동을 기술하는 비선형 방정식입니다. 솔리톤이란 에너지가 집중되어 안정한 덩어리로서 전파되어 가는 비선형적 파동을 뜻하며 솔리톤은 공간적으로 고립하여 심지어 충돌이 발생해도 파형이 부서지는 일 없이 안정적으로 전파합니다. 대표적으로 옅은 수면파를 나타낼 때 이 방정식이 사용됩니다.
(8) 나비에-스토크스 (Navier-Stokes) 방정식
점성을 가진 유체의 운동을 기술하는 비선형 편미분 방정식입니다. 날씨 모델, 해류, 관에서 유체 흐름, 날개 주변의 유체 흐름, 그리고 은하에서 별들의 움직임을 설명하는데 쓰일 수 있으며 실제로 항공기나 자동차 설계, 혈관 내의 혈류, 오염 물질의 확산 등을 연구하는데 사용되고 있답니다. 나이베-스토크스 방정식은 매우 광범위하게 사용되고 있지만 아직 3차원 강해가 항상 존재한다는 것을 증명하지 못했습니다. 2000년 클레이 수학연구소(CMI)가 정한, 21세기 사회에 가장 크게 공헌할 수 있지만 아직까지 풀리지 않은 미해결 문제 (소위 말하는 밀레니엄 문제로 각 문제 당 1,000,000 달러의 상금이 걸려있습니다.) 7가지 중 하나가 바로 3차원에서 나비에-스토크스 방정식의 강해가 존재하거나 혹은 유한 시간 안에 폭발하는 해가 존재함을 보이는 것이랍니다.
다음 편을 기대해주세요!
지난 이야기
- [돈을 지배하는 물리 법칙] Chapter 0. 서론
- [돈을 지배하는 물리 법칙] Chapter 1. 시세에 작용하는 관성과 작용/반작용의 법칙
- [돈을 지배하는 물리 법칙] Chapter 2. 브라운 운동으로 해석하는 투기 이론
- [돈을 지배하는 물리 법칙] Chapter 3. 천체물리학자가 파헤친 주가와 주가 수익률의 관계
- [돈을 지배하는 물리 법칙] Chapter 4. 멱 법칙과 레비 안정 분포로 알아보는 빈익빈 부익부
- [돈을 지배하는 물리 법칙] Chapter 5. 켈리의 공식으로 알아보는 포트폴리오를 분산하는 방법
- [돈을 지배하는 물리 법칙] Chapter 6. 블랙-숄즈 주가 모형으로 알아보는 주가 변화와 자산의 위험 정도
- [암호화폐가 100% 망한다고? 양자 컴퓨터와 블록체인 보안 이야기] Chapter 0. 서론
- [암호화폐가 100% 망한다고? 양자 컴퓨터와 블록체인 보안 이야기] Chapter 1. 양자 컴퓨터! 도대체 일반 컴퓨터랑 뭐가 다른 거야?
- [암호화폐가 100% 망한다고? 양자 컴퓨터와 블록체인 보안 이야기] Chapter 2. 놀라운 자연의 마법, 양자 중첩/얽힘/순간이동
- [암호화폐가 100% 망한다고? 양자 컴퓨터와 블록체인 보안 이야기] Chapter 3. 병 주고 약 주는 양자 컴퓨터? 양자 병렬성과 양자 통신 보안
- [암호화폐가 100% 망한다고? 양자 컴퓨터와 블록체인 보안 이야기] Chapter 4. 큐비트를 이용한 양자 정보 처리
- [암호화폐가 100% 망한다고? 양자 컴퓨터와 블록체인 보안 이야기] Chapter 5. 양자 정보 세상을 위해 극복해야 할 기술적 난관
- [암호화폐가 100% 망한다고? 양자 컴퓨터와 블록체인 보안 이야기] Chapter 6. 양자 컴퓨터 기술 개발! 그래서 어디까지 진행되었나?
- [암호화폐가 100% 망한다고? 양자 컴퓨터와 블록체인 보안 이야기] Chapter 7. 양자 컴퓨터가 블록체인을 죽일 것이다?
- [밤하늘의 물리학] Chapter 0. 서론
- [밤하늘의 물리학] Chapter 1. 우주론의 기원과 진화
- [밤하늘의 물리학] Chapter 2. 정적인 우주와 동적인 우주
- [밤하늘의 물리학] Chapter 3. 연주 시차와 별의 밝기-거리 관계
- [밤하늘의 물리학] Chapter 4. 세페이드 변광성과 외부 은하
- [밤하늘의 물리학] Chapter 5. 허블의 법칙과 우주의 나이, 크기, 팽창률
- [밤하늘의 물리학] Chapter 6. 빅뱅 우주론으로 알아보는 우주의 탄생과 미래
- [밤하늘의 물리학] Chapter 7. 성간 물질과 별의 탄생 과정
- [밤하늘의 물리학] Chapter 8. 허블의 분류를 통해 알아보는 은하의 종류와 형태
- [밤하늘의 물리학] Chapter 9. 은하의 충돌과 분포 및 우주의 거대 구조
- [밤하늘의 물리학] Chapter 10. 성간운의 형태와 별빛의 편광
- [밤하늘의 물리학] Chapter 11. 성간운에서의 화학 반응과 외계 생명체의 단서
- [밤하늘의 물리학] Chapter 12. 별의 진화와 수명
- [밤하늘의 물리학] Chapter 13. 별의 최후와 갈색 왜성, 행성상성운, 백색 왜성, 초신성, 중성자별, 블랙홀의 탄생
- [수리물리학 이야기] Chapter 0. 서론
- [수리물리학 이야기] Chapter 1. 오일러 공식과 테일러 급수
- [수리물리학 이야기] Chapter 2. 크로네커 델타와 푸리에 급수
- [수리물리학 이야기] Chapter 3. 푸리에 해석과 푸리에 계수
- [수리물리학 이야기] Chapter 4. 푸리에 변환 및 역변환
- [수리물리학 이야기] Chapter 5. 팩토리얼과 감마 함수
- [수리물리학 이야기] Chapter 6. 가우스 함수와 가우스 적분
- [수리물리학 이야기] Chapter 7. 원통좌표계, 구면좌표계
- [알기 쉬운 물리학] 다양한 물리학 분야와 응집물질물리학 이야기
- [신의 입자] 만물에 질량을 부여하는 입자, 힉스에 대해 알아보자. (상편)
- [신의 입자] 만물에 질량을 부여하는 입자, 힉스에 대해 알아보자. (하편)
- [모든 힘은 어디에서 비롯될까?] 자연계에 존재하는 기본 4가지 힘에 대해 알아보자.
- [도플러 효과] 너와 나의 움직임이 진동수와 파장을 바꾼다?
- [차세대 초고속 이동수단] 하이퍼루프가 왜 특별한지 알아보자!
- [차세대 초고속 이동수단] 하이퍼루프가 지닌 문제점과 그 극복 방안
- [이공계 대학원생 근로계약 체결 관련] 4개 과학기술원 간담회에 다녀왔습니다.
- [수달, 두더지, 고라니, 멧돼지] 멸종위기 천연기념물이 사는 친환경 캠퍼스
- [3D 프린터 대축제] 3D 프린팅 갈라 in 울산
- [미국 물리학회 참석기] (8) 그래핀 연구의 세계적인 권위자 김필립 교수님을 만나다.
- [안철수 대표를 만나다] UNIST 잔디밭 토크 콘서트
- 물리학도가 들려주는 인터스텔라를 더 재밌게 보기 위한 18가지 이야기
- 그래핀 끼워 넣어 꿈의 다이오드 만들기
- 본문에서 사용된 모든 이미지는 구글 이미지에서 가져왔음을 밝힙니다.
- 본문을 작성하는데 있어 위키피디아 내용을 참조하였습니다.
