[과학] 블랙홀과 열역학

저도 어느새 200명 팔로워가 되가는데 머라도 해야되나 해서 준비해봤습니다. 저를 어떻게 팔로워 하시게 됬는지 잘 모르겠지만 그나마 파급력이라고 해야되나 홍보(?) 관심이 많았던 글이 블랙홀과 관련된 글이었다고 생각해서 지난번에 다루다만 "블랙홀과 열역학" 을 주제로 나름 몇번 손질했던 글을 공개(?) 합니다. ㅎㅎ 쓰다가 길어져 두개로.. 두번째 주제는 노벨상을 두 번 받은 학자들 , 이라는 제목으로 4명의 학자를 만나보게 될 겁니다 [누구 누구가 있을까요?ㅎㅎ]


Image credit: NASA/JPL-Caltechbh1.jpg

[블랙홀 중심으로 부터 jet 가 발생하여 방출 되고 있다.-예전 블랙홀 포스팅 재탕!]

예전 포스팅에 블랙홀과 중력파에 관한 포스팅을 한 적이 있었습니다.

[과학] 중력파와 블랙홀-1 [이론소개 중심] >
[과학] 중력파와 블랙홀-2 [간략] [블랙홀의 생성과정과 중력파 발생] >
[과학, 책] 중력파와 블랙홀-3 [관련 도서/자료(?) 소개] >

이것들은 블랙홀의 고전적인 성질들에 대한 내용인데요, 오늘은 블랙홀의 양자역학적(?), semi-classical approximation 의 효과에서 오는, 블랙홀의 온도 또 거기에서 오는 파생상품(?) 들에 대해서 소개해 볼까 합니다.

Black hole 은 질량 M 과 angular momentum J, 그리고 gauge charge 로 기술이 되는데 이를 No hair theorem 이라고 하죠

No hair theorem
" a stationary, asmptotically flat Black hole is totally characterized by its mass, spin and charge

놀라운 것은 Hawking semi-classical approximation 에 방법에 따르면 블랙홀이 "thermal radiation" 을 한다는 것을 알 수 있고, 즉 이는 블랙홀이 온도를 가지고 있다는 것을 암시합니다.

[여담으로 블랙홀이 온도를 가지고 있다 란 것을 보이는데에는 여러가지 방법이 있는데요, 가장 유명한 것이 Hawking 의 original 접근법인 semi-classical approximation 이 있습니다. 이 방법은 소위 말하는 "quantum field theory in curved spacetime" 에 관한 방법으로 field의 decomposition과 연관이 있죠. 많은 계산이 필요한 방법입니다.

직관적인 방법으로, "Finite temperature in QFT" 라고 불리는 것으로 양자장론에서 finite 한 온도를 가지는 system 을 기술할 때 Euclidean 시간의 주기성을 가진다는 사실로부터 보이는 방법입니다. 즉 일반적인 양자장론에서 유한한 온도를 가지고 있는 시스템의 기술을 할 때, 시간이 온도와 유사한 역활을 한다는 것으로, Lorentzian 을 Wick rotation 을 통해 Euclidean 으로 바꾼뒤 이 바뀐 시간이 주기성을 띌 경우 partition function 의 모양으로 부터 그 주기가 온도의 역수 역활을 한다는 것을 알 수 있습니다. ]

위의 내용을 바탕으로 블랙홀이 온도를 가지고 있음을, black body radiation 을 한다는 것을 알 수 있고, 이로부터 블랙홀 버전의 열역학 법칙들을 소개 할 수 있게 되었습니다. 여기서 그 유명한 블랙홀의 온도 식

BH-식2.png

을 얻을 수 있습니다. 얻는 과정은 두번째 방법을 예로 들면, metric 으로부터 horizon 을 구하고 horizon 근처에서 expansion 한 값의 Euclidean time 부분을 온도로 identification 하는 과정에서 구할 수 있습니다. 여기서 kappa 는 surface gravity 를 나타냅니다. 즉 상수들을 1로 취급하면 블랙홀의 surface gravity 는 온도와 동등하다고 볼 수 있죠.

그럼 그 전에 열역학 법칙들을 소개해 보도록 하죠. 일단은 온도와 엔트로피에 중점을 두고 다른 표현들도 정리해 보도록 하겠습니다.

  • 열역학 0법칙

the temperature T of a body at thermal equilibrium is constant throughout the body
열역학 0 법칙은 사실 온도의 정의라 봐도 무방한 표현입니다. [온도와 밀접한 관련이 있지요] 먼저 이를 설명하려면 thermal equilibrium, 열적 평형상태를 설명해야 겠군요. 열적 평형은 두 물체가 가지고 있는 열 에너지가 같아 더 이상 열 에너지를 교환하지 않는 상태를 말하죠. 열적 평형에 대해서 가장 쉬운 설명으로

"어떤 시스템에서 물체 A와 B가 열적 평형 상태에 있고, B와 C가 열적 평형 상태에 있으면, A와 C도 열적 평형 상태에 있다."
간단하게 A=B 이고 B=C 이면 A=C 이다 가 되겠죠

  • 열역학 1법칙

Energy conservation

BH-식1.png

일반적으로 말하는 에너지 보존 법칙을 말하죠. 여기서 E 는 에너지를, T 는 온도, S 는 엔트로피, P 는 압력, V 는 부피, mu 는 chemical potential N 은 입자의 개수를 말합니다. TdS 뒤의 텀은 일종의 dW 가해진 일이라고 보면 됩니다.

  • 열역학 2법칙

In a physical process the total entropy S never decrease

"고립된 계의 총 엔트로피는 감소하지 않는다" 라는 법칙으로 흔히 "비가역성" 으로 더 잘 알려져 있죠.

BH-식8.png

여러 사람에 따라 열역학 제 2법칙은 열기관과 관련되어 아래와 같은 표현으로 적히기도 합니다.

Clausis
"No process is possible whole sole result is the transfer of heat from a colder to a hooter body"

클라우지스, 차가운 곳에서 뜨거운 곳으로의 온전한 열 전달은 불가능하다.

Kelvin
" No process is possible whose sole result is the complete conversion of heat into equation"

켈빈의 정의로 즉 열을 온전히 일로 변환하는게 불가능하다는 것을 말합니다.

종종 시험에 이 열기관에 관한 두 표현이 동치 표현인 것을 증명하라는 문제가 나오곤 하지요. 더 나아가 이 법칙으로 그 유명한 "영구 기관의 존재성" 에 대해서 물리학적 증명(?)을 할 수 있죠.

  • 열역학 3법칙

The temperature cannot reduce to zero in a finite number of steps.

열역학 3 법칙 역시 여러 사람들의 법칙 들이 있습니다.

Nernst
"Near absolute zero, all reactions in a system in internal equilibrium take place with no change in entropy

Planck
"The entropy of all systems in internal equilibrium is the same at absolute zero, and may be taken to be zero"

Simon
"The contribution to the entropy of a system by each aspect of the system which is in internal thermodynamic equilibrium tends to zero as T->0"

이 세 사람의 말을 종합해 보면 결국 "절대 0도 에서 시스템의 엔트로피는 0이 된다"는 것을 알 수 있지요.

[참고 문헌: 학부 관련 교재 : Blundell, Kittel 등]


열역학 법칙이나 통계역학 내용만 해도 방대한 양이지요. 제가 첫번째로 적은 표현은 BH의 열역학 법칙과의 유사성을 보여주기 위해서 입니다. 블랙홀의 4가지 법칙을 알아볼까요? [Bardeen, Carter, Hawking (1973)]

여담으로 여기에서의 Bardeen 은 James Maxwell Bardeen 으로, 노벨상을 무려 두번이나 받은 물리학자 John Bardeen [May 23, 1908 – January 30, 1991 !!!] 의 두 아들 중 한명입니다. 그래서 아들 이름에 전자기학의 그 유명한 물리학자 Maxwell 을 붙였을려나요? 노벨상을 두번이나 받은 다른 사람은 또 없을까요?

[후속글~ 노벨상을 두 번 받은 학자들 ] ,

원 논문이 궁금하신 분은 여기를 클릭~ The Four Laws of Black Hole Mechanics, Commun.math.Phys. 31, 161-170(1973) , 무료로 공개되어진 논문입니다. 10page 밖에 되지 않고요. 핵심 내용은 7쪽부터 10쪽 이에요. 이 부분은 비 전공자라도 누구나 쉽게 읽을 수 있습니다 ㅎㅎ 간략히 4개의 법칙을 0부터 숫자 순서대로 정리해 보도록 하면

  • 0 법칙

surface gravity, kappa is constant over the horizon

kappa 대신 온도를 대입하면 열역학 0 법칙과 똑같다는 것을 알 수 있습니다.

  • 1 법칙

Energy conservation

BH-식3.png

먼저 M은 mass, 상대성 원리의 근간은 mass=Energy 란 것이죠, 여기서 A, 는 horizon 의 Area, J 는 spin, Q는 전하를 나타냅니다.

  • 2 법칙

horizon area never decreases

BH-식4.png
Area-law 혹은 Area theorem 으로 불리기도 합니다.

  • 3 법칙

surface gravity, kappa of a Black hole cannot reduced to zero in a finite number of steps

역시 kappa 대신 온도를 대입하면 열역학 3 법칙과 똑같다는 것을 알 수 있습니다.

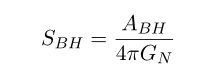
여기까지 보면 이게 이게 열역학 법칙들과 어떤 관계가 있을까? 란 생각을 하게 될껍니다. 사람들은 Hawking 에 의해서 블랙홀의 온도 T 는 surface gravity, kappa 와 관련이 있다는 것을 알았고, 위 법칙이 나오고 나서, 블랙홀은 일반적인 열역학 법칙을 만족하지 않는다고 생각했었죠. 당대의 대가들은 열역학 법칙을 깨는 것을 선호했으니까요 [과거의 믿어왔던 법칙이 깨지고 새로운 법칙을 만들어 내면서 학자들은 할일들이 더 많아지게 되죠 ㅎㅎ] 이 때 열역학 법칙이 깨지는 것이 불편했던 Bekenstein(휠러의 많은 학생 중 한 명 입니다. 블랙홀 열역학 분야에 한 획을 그으신 분이죠) 은 Black Hole Horizon area가 entropy 와 비례하게 되면 이 법칙들이 열역학 법칙을 만족하게 된다는 것을 보였고[즉 위의 2법칙에 대해서 재해석을 할 수 있게 되었죠], 후에 학자들의 보충 연구를 통해 이 블랙홀이 열역학 법칙을 만족한다는 것을 확인하게 되었죠. [대표적으로 Wald entropy 방식으로 Bekenstein_Hakwing formula (엔트로피와 horizon area 의 관계) 를 얻을 수 있습니다]

BH-식5.png

이 식을 통해 1, 2 번째 법칙은 다음과 같은 형태로 쓰이게 됩니다.

BH-식6.png

BH-식7.png

어떤 식과 비슷하지 않나요? 즉 열역학 제 1, 2법칙과 같은 형태로 쓰인다는 것을 알 수 있습니다.

자, 이로부터 알게된 것들을 정리해 볼까요? 중력 이론에 따르면, 블랙홀은 빛조차 흡수할 정도로 많은 것들을 흡수하죠, 즉 모든 것들을 흡수해서 블랙홀이 모든것을 빨아들이지 않을까 란 생각을 하게 되죠. 하지만 양자역학적 효과를 고려하면 블랙홀 자체도 온도를 가지기 때문에, Black body 처럼, thermal radiation 을 합니다. 이 radiation 은 surface 와 연관이 있는데 surface 가 클수록 더 많은 양을 방사합니다. 즉 블랙홀이 물체를 흡수하게 되면 표면적이 커지는데, 그 때 블랙홀은 더 많은 양을 radiation 한다는 것이지요. 아이러니하게 블랙홀이 더 많은 물체를 흡수할 수록 더 많은 양의 thermal radiation 을 하게 되고, 이 과정을 통해 블랙홀이 증발하게 됩니다. 이 mechanism 이 Blackhole evaporation 이라고 하죠. 많은 사람들이 입자가속기의 충돌 실험 속에서 블랙홀이 발생하면 모든것을 흡수하여 지구가 멸망하지 않을까 걱정을 하곤 합니다. 실제로 입자 가속기 충돌 실험 중에 그 극소수의 확률을 뚫고 블랙홀이 만들어졌다고 해도, 해당 질량이 매우 작아 순식간에 증발해버리게 됩니다!

Useful reference

- Wikipedia
- Quantum Black Holes by Atish Dabholkar and Suresh Nampuri
- Introductory Lectures on Black Hole Thermodynamics - UMD Physics by Ted Jacobson
참고로 이 Ted Jacobson 역시 중력 분야 특히 블랙홀 thermodynamics 의 대가 중 한명입니다.

이렇듯 블랙홀이 열역학 법칙들을 만족한다는 것에서 부터 통계학적 접근에 관련된 연구가 시작되었고, Holographic principle 을 이용하여, Blackhole 의 microscopic states 를 세는 등 quantum gravity 의 접근 연구 가 활발히 이루어 지고 있습니다. 물론 블랙홀은 자체가 가지는 causal strucutre 관련된 연구나 편미분 방정식과 연관된 Cauchy problem, Singularity theorem 등 classical gravity 부터 quantum gravity 까지, 천체 관측 부터 모델링 등 블랙홀은 많은 학자들의 "장난감" 으로 사용 되고 있지요. ㅎㅎ

H2
H3
H4
Upload from PC
Video gallery
3 columns
2 columns
1 column
1 Comment