
좀 전에 이런 댓글을 @zzings 님께 받았습니다.

제 명성도가 가입일수에 비해서 높은지 오늘 알았네요ㅎㅎ
그래서 이 명성도가 뭔가 해서 검색을 해보았습니다.
[Steem Dictionary] 스팀잇에서 reputation (평판,명성)이란?
명성도에 관한 문의 좀 해도 될까요?
What is Steemit reputation and how does it work?
명성은 어떻게 계산되고 올라갈까?
잘은 모르지만 위 글들을 정리 요약하자면 이렇습니다.(고수분들이 맞는 내용인지 확인부탁드립니다.)
1. 명성도란?
- 자신의 아이디 옆에 숫자로 나타나는것
2.그게 뭔데?
- 스팀잇 안에서의 활동정도를 나타내는 일종의 레벨
3-1. 어떻게 올리는데? 포스팅이랑 댓글을 많이쓰면되는거야?
- 글쎄?(확인필요)
3-2. 그럼어떻게 올리는데?
- 보팅을 받으면되

4.계산식은?
- https://github.com/steemit/steem/blob/master/libraries/plugins/follow/follow_plugin.cpp
- @arcange/what-is-steemit-reputation-and-how-does-it-works
하단부 내용
해석을 하자면
- 투표자의 보팅 정보를 얻는다.
- 유권자의 명성과 (투표자) / 게시물이나 댓글 작성자의 명성을 얻는다.
- 부정적인 명성을 가지고 있다면(아마 마이너스 명성인듯?), 문서화 된, 프로세스가 중지되고 당신은 다른 사람의 명성에 영향을 주지 않는다.
- 보상이 명성치에 추가된다
- 이렇게 얻어진 명성치가 다음과같은식에 의하여 우리에게 보여지는명성으로 바뀐다.

Reputation 값 log10 을 취해주고 그 값에서 9를 뺍니다. 이후 다시 9를 곱해줍니다. 25를 더한 후, 소수점을 제거해준다.
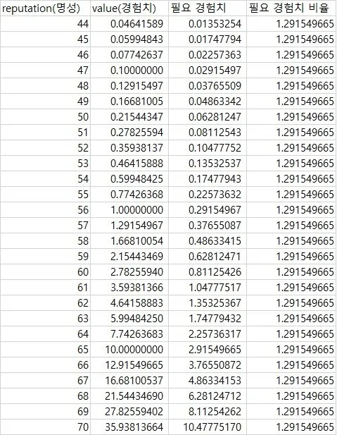
5. 명성도를 올리려면 얼마나 걸리는데?
- 계산식에 따르면 (@yhstella님 제공)

명성치를 1 올리기 위해서는 이전보다 1.29배의 노력을 해야한다.
명성이 3 정도 차이나면 2배 정도 경험치 차이가난다.
6. 그래서 어디에 쓰이는데?
명성이 높다는건 게임에서 레벨이 높은것 처럼 영향력이 강하다는 것을 수치화해서 보여주는 것으로 유저들이 쉽게 그 사람의 활동정정도를 알 수 있게된다. 더불어 플래그(다운보팅)의 경우 하극상이 불가하다.
한줄요약 :
명성은 지금까지 받은 누적보상의 정도를 로그계산식에 의해 보기쉽게 나타내주는 스팀잇 내에서의 활동정도를 보여주는 지표이다.
ps.저의 경우는
[SteemMoa] 스팀잇의 게시판형 홈페이지를 개설하였습니다.
요 포스팅 때문인것 같습니다.
SteemMoa (http://steemmoa.na.to) 유용하게 이용해 주세요^^
조만간 몇 가지 업데이트 예정입니다.
아 그리고 혹시 시간되시면 아시는분은
@nahollo/q-and-a
이 글 답변좀 부탁드립니다ㅠㅠ